NCERT Solutionss Logo

Class 8 गणित गुणनखंडन Solution of NCERT

Here We have provided Latest NCERT Solution for Class 8 of गणित for free, Here are some quick information about the same which will be helpful for you to identify the content that is offerend on this page. Based on that you can plan whether you need to read it or not:
Board : CBSE (Central Board of Secondary Education)
Books : NCERT (National counsil of education, research and Training)
Content : Solution
Class : Class 8
Subject : गणित
Langauge : hindi
Chapter : गुणनखंडन
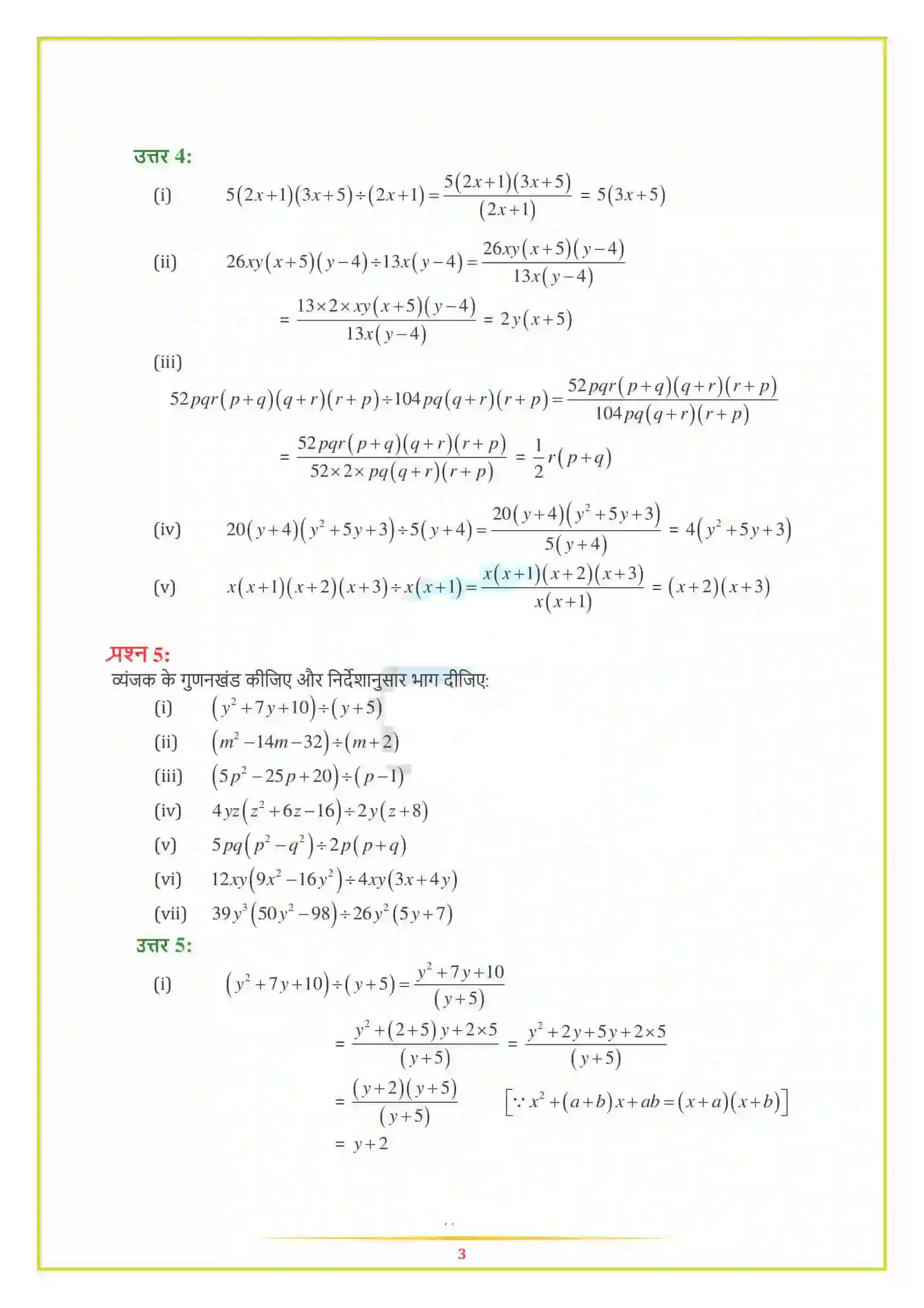
NCERT-Solution-Class-8-गणित-गुणनखंडन-5012-page-1
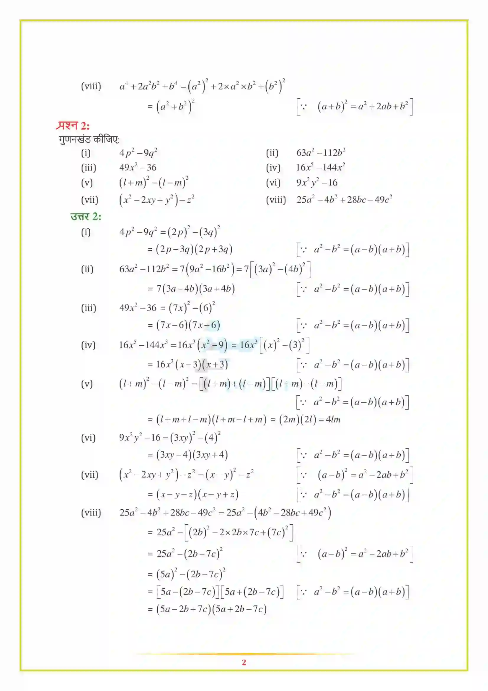
NCERT-Solution-Class-8-गणित-गुणनखंडन-5012-page-2
NCERT-Solution-Class-8-गणित-गुणनखंडन-5012-page-3
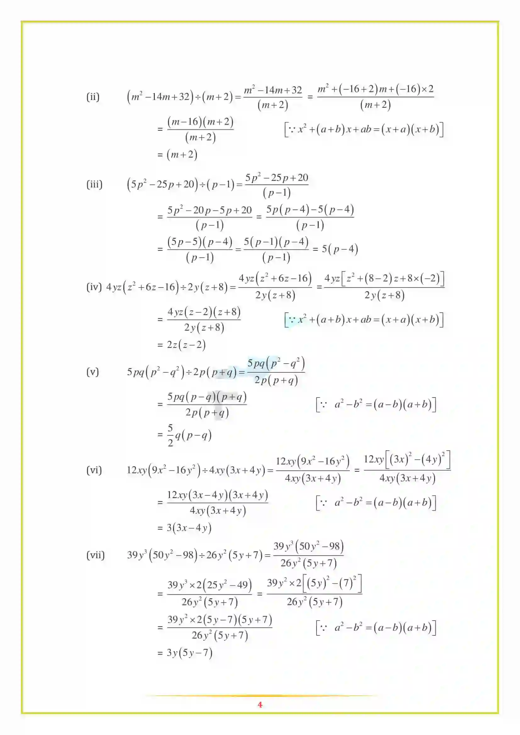
NCERT-Solution-Class-8-गणित-गुणनखंडन-5012-page-4
NCERT-Solution-Class-8-गणित-गुणनखंडन-5012-page-5
NCERT-Solution-Class-8-गणित-गुणनखंडन-5012-page-6
NCERT-Solution-Class-8-गणित-गुणनखंडन-5012-page-7
NCERT-Solution-Class-8-गणित-गुणनखंडन-5012-page-8
NCERT-Solution-Class-8-गणित-गुणनखंडन-5012-page-9
NCERT-Solution-Class-8-गणित-गुणनखंडन-5012-page-10
NCERT-Solution-Class-8-गणित-गुणनखंडन-5012-page-11
NCERT-Solution-Class-8-गणित-गुणनखंडन-5012-page-12
NCERT-Solution-Class-8-गणित-गुणनखंडन-5012-page-13
NCERT-Solution-Class-8-गणित-गुणनखंडन-5012-page-14
NCERT-Solution-Class-8-गणित-गुणनखंडन-5012-page-15

Share a Word about Us

Facebook Twitter Whatsapp

;