NCERT Solutionss Logo

Class 12 Chemistry Chemical Kinetics Solution of NCERT

Here We have provided Latest NCERT Solution for Class 12 of Chemistry for free, Here are some quick information about the same which will be helpful for you to identify the content that is offerend on this page. Based on that you can plan whether you need to read it or not:
Board : CBSE (Central Board of Secondary Education)
Books : NCERT (National counsil of education, research and Training)
Content : Solution
Class : Class 12
Subject : Chemistry
Langauge : urdu
Chapter : Chemical Kinetics
NCERT-Solution-Class-12-Chemistry-Chemical-Kinetics-2221-page-1
NCERT-Solution-Class-12-Chemistry-Chemical-Kinetics-2221-page-2
NCERT-Solution-Class-12-Chemistry-Chemical-Kinetics-2221-page-3
NCERT-Solution-Class-12-Chemistry-Chemical-Kinetics-2221-page-4
NCERT-Solution-Class-12-Chemistry-Chemical-Kinetics-2221-page-5
NCERT-Solution-Class-12-Chemistry-Chemical-Kinetics-2221-page-6
NCERT-Solution-Class-12-Chemistry-Chemical-Kinetics-2221-page-7
NCERT-Solution-Class-12-Chemistry-Chemical-Kinetics-2221-page-8
NCERT-Solution-Class-12-Chemistry-Chemical-Kinetics-2221-page-9
NCERT-Solution-Class-12-Chemistry-Chemical-Kinetics-2221-page-10
NCERT-Solution-Class-12-Chemistry-Chemical-Kinetics-2221-page-11
NCERT-Solution-Class-12-Chemistry-Chemical-Kinetics-2221-page-12
NCERT-Solution-Class-12-Chemistry-Chemical-Kinetics-2221-page-13
NCERT-Solution-Class-12-Chemistry-Chemical-Kinetics-2221-page-14
NCERT-Solution-Class-12-Chemistry-Chemical-Kinetics-2221-page-15
NCERT-Solution-Class-12-Chemistry-Chemical-Kinetics-2221-page-16
NCERT-Solution-Class-12-Chemistry-Chemical-Kinetics-2221-page-17
NCERT-Solution-Class-12-Chemistry-Chemical-Kinetics-2221-page-18
NCERT-Solution-Class-12-Chemistry-Chemical-Kinetics-2221-page-19
NCERT-Solution-Class-12-Chemistry-Chemical-Kinetics-2221-page-20
NCERT-Solution-Class-12-Chemistry-Chemical-Kinetics-2221-page-21
NCERT-Solution-Class-12-Chemistry-Chemical-Kinetics-2221-page-22
NCERT-Solution-Class-12-Chemistry-Chemical-Kinetics-2221-page-23
NCERT-Solution-Class-12-Chemistry-Chemical-Kinetics-2221-page-24
NCERT-Solution-Class-12-Chemistry-Chemical-Kinetics-2221-page-25
NCERT-Solution-Class-12-Chemistry-Chemical-Kinetics-2221-page-26
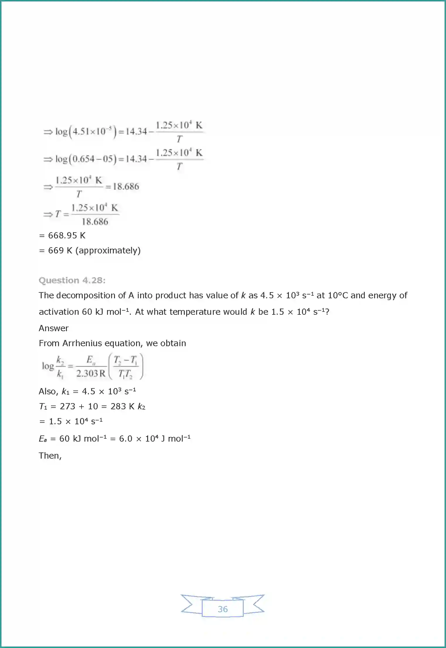
NCERT-Solution-Class-12-Chemistry-Chemical-Kinetics-2221-page-27
NCERT-Solution-Class-12-Chemistry-Chemical-Kinetics-2221-page-28
NCERT-Solution-Class-12-Chemistry-Chemical-Kinetics-2221-page-29
NCERT-Solution-Class-12-Chemistry-Chemical-Kinetics-2221-page-30
NCERT-Solution-Class-12-Chemistry-Chemical-Kinetics-2221-page-31
NCERT-Solution-Class-12-Chemistry-Chemical-Kinetics-2221-page-32
NCERT-Solution-Class-12-Chemistry-Chemical-Kinetics-2221-page-33

Share a Word about Us

Facebook Twitter Whatsapp

;