NCERT Solutionss Logo

Class 7 Maths Exemplar Algebraic Expressions Exemplar Solution of NCERT

Here We have provided Latest NCERT Solution for Class 7 of Maths Exemplar for free, Here are some quick information about the same which will be helpful for you to identify the content that is offerend on this page. Based on that you can plan whether you need to read it or not:
Board : CBSE (Central Board of Secondary Education)
Books : NCERT (National counsil of education, research and Training)
Content : Solution
Class : Class 7
Subject : Maths Exemplar
Langauge : urdu
Chapter : Algebraic Expressions Exemplar
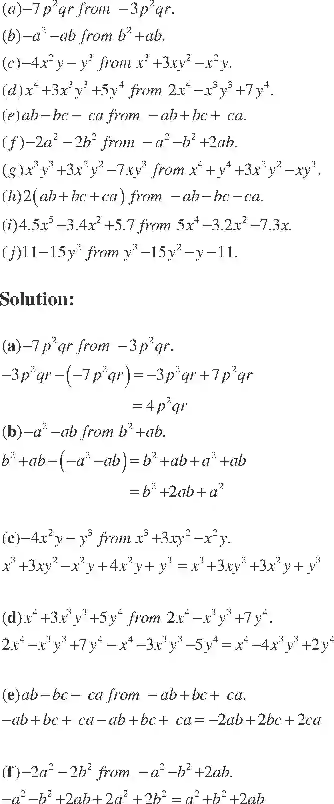
NCERT-Solution-Class-7-Maths-Exemplar-Algebraic-Expressions-Exemplar-3770-page-1
NCERT-Solution-Class-7-Maths-Exemplar-Algebraic-Expressions-Exemplar-3770-page-2
NCERT-Solution-Class-7-Maths-Exemplar-Algebraic-Expressions-Exemplar-3770-page-3
NCERT-Solution-Class-7-Maths-Exemplar-Algebraic-Expressions-Exemplar-3770-page-4
NCERT-Solution-Class-7-Maths-Exemplar-Algebraic-Expressions-Exemplar-3770-page-5
NCERT-Solution-Class-7-Maths-Exemplar-Algebraic-Expressions-Exemplar-3770-page-6
NCERT-Solution-Class-7-Maths-Exemplar-Algebraic-Expressions-Exemplar-3770-page-7
NCERT-Solution-Class-7-Maths-Exemplar-Algebraic-Expressions-Exemplar-3770-page-8
NCERT-Solution-Class-7-Maths-Exemplar-Algebraic-Expressions-Exemplar-3770-page-9
NCERT-Solution-Class-7-Maths-Exemplar-Algebraic-Expressions-Exemplar-3770-page-10
NCERT-Solution-Class-7-Maths-Exemplar-Algebraic-Expressions-Exemplar-3770-page-11
NCERT-Solution-Class-7-Maths-Exemplar-Algebraic-Expressions-Exemplar-3770-page-12
NCERT-Solution-Class-7-Maths-Exemplar-Algebraic-Expressions-Exemplar-3770-page-13
NCERT-Solution-Class-7-Maths-Exemplar-Algebraic-Expressions-Exemplar-3770-page-14
NCERT-Solution-Class-7-Maths-Exemplar-Algebraic-Expressions-Exemplar-3770-page-15
NCERT-Solution-Class-7-Maths-Exemplar-Algebraic-Expressions-Exemplar-3770-page-16
NCERT-Solution-Class-7-Maths-Exemplar-Algebraic-Expressions-Exemplar-3770-page-17
NCERT-Solution-Class-7-Maths-Exemplar-Algebraic-Expressions-Exemplar-3770-page-18
NCERT-Solution-Class-7-Maths-Exemplar-Algebraic-Expressions-Exemplar-3770-page-19
NCERT-Solution-Class-7-Maths-Exemplar-Algebraic-Expressions-Exemplar-3770-page-20
NCERT-Solution-Class-7-Maths-Exemplar-Algebraic-Expressions-Exemplar-3770-page-21
NCERT-Solution-Class-7-Maths-Exemplar-Algebraic-Expressions-Exemplar-3770-page-22
NCERT-Solution-Class-7-Maths-Exemplar-Algebraic-Expressions-Exemplar-3770-page-23
NCERT-Solution-Class-7-Maths-Exemplar-Algebraic-Expressions-Exemplar-3770-page-24
NCERT-Solution-Class-7-Maths-Exemplar-Algebraic-Expressions-Exemplar-3770-page-25
NCERT-Solution-Class-7-Maths-Exemplar-Algebraic-Expressions-Exemplar-3770-page-26
NCERT-Solution-Class-7-Maths-Exemplar-Algebraic-Expressions-Exemplar-3770-page-27
NCERT-Solution-Class-7-Maths-Exemplar-Algebraic-Expressions-Exemplar-3770-page-28
NCERT-Solution-Class-7-Maths-Exemplar-Algebraic-Expressions-Exemplar-3770-page-29
NCERT-Solution-Class-7-Maths-Exemplar-Algebraic-Expressions-Exemplar-3770-page-30
NCERT-Solution-Class-7-Maths-Exemplar-Algebraic-Expressions-Exemplar-3770-page-31
NCERT-Solution-Class-7-Maths-Exemplar-Algebraic-Expressions-Exemplar-3770-page-32
NCERT-Solution-Class-7-Maths-Exemplar-Algebraic-Expressions-Exemplar-3770-page-33
NCERT-Solution-Class-7-Maths-Exemplar-Algebraic-Expressions-Exemplar-3770-page-34
NCERT-Solution-Class-7-Maths-Exemplar-Algebraic-Expressions-Exemplar-3770-page-35
NCERT-Solution-Class-7-Maths-Exemplar-Algebraic-Expressions-Exemplar-3770-page-36
NCERT-Solution-Class-7-Maths-Exemplar-Algebraic-Expressions-Exemplar-3770-page-37
NCERT-Solution-Class-7-Maths-Exemplar-Algebraic-Expressions-Exemplar-3770-page-38
NCERT-Solution-Class-7-Maths-Exemplar-Algebraic-Expressions-Exemplar-3770-page-39
NCERT-Solution-Class-7-Maths-Exemplar-Algebraic-Expressions-Exemplar-3770-page-40
NCERT-Solution-Class-7-Maths-Exemplar-Algebraic-Expressions-Exemplar-3770-page-41
NCERT-Solution-Class-7-Maths-Exemplar-Algebraic-Expressions-Exemplar-3770-page-42

Other Chapters solutions of Class 7 Maths Exemplar of NCERT

Here are other chapters available for study and download for students of Class 7 for Maths Exemplar subject, click the link below to access the same:
Integers Exemplar
Fractions and Decimals Exemplar
Data Handling Exemplar
Simple Equations Exemplar
Lines and Angles Exemplar
Triangles Exemplar
Comparing Quantities Exemplar
Rational Numbers Exemplar
Perimeter and Area Exemplar
Algebraic Expressions Exemplar
Exponent Exemplar
Practical Geometry Symmetry and Visualizing Solid Shapes Exemplar

Share a Word about Us

Facebook Twitter Whatsapp

;