NCERT Solutionss Logo

Class 9 Maths Exemplar Heron’s Formula Exemplar Solution of NCERT

Here We have provided Latest NCERT Solution for Class 9 of Maths Exemplar for free, Here are some quick information about the same which will be helpful for you to identify the content that is offerend on this page. Based on that you can plan whether you need to read it or not:
Board : CBSE (Central Board of Secondary Education)
Books : NCERT (National counsil of education, research and Training)
Content : Solution
Class : Class 9
Subject : Maths Exemplar
Langauge : urdu
Chapter : Heron’s Formula Exemplar
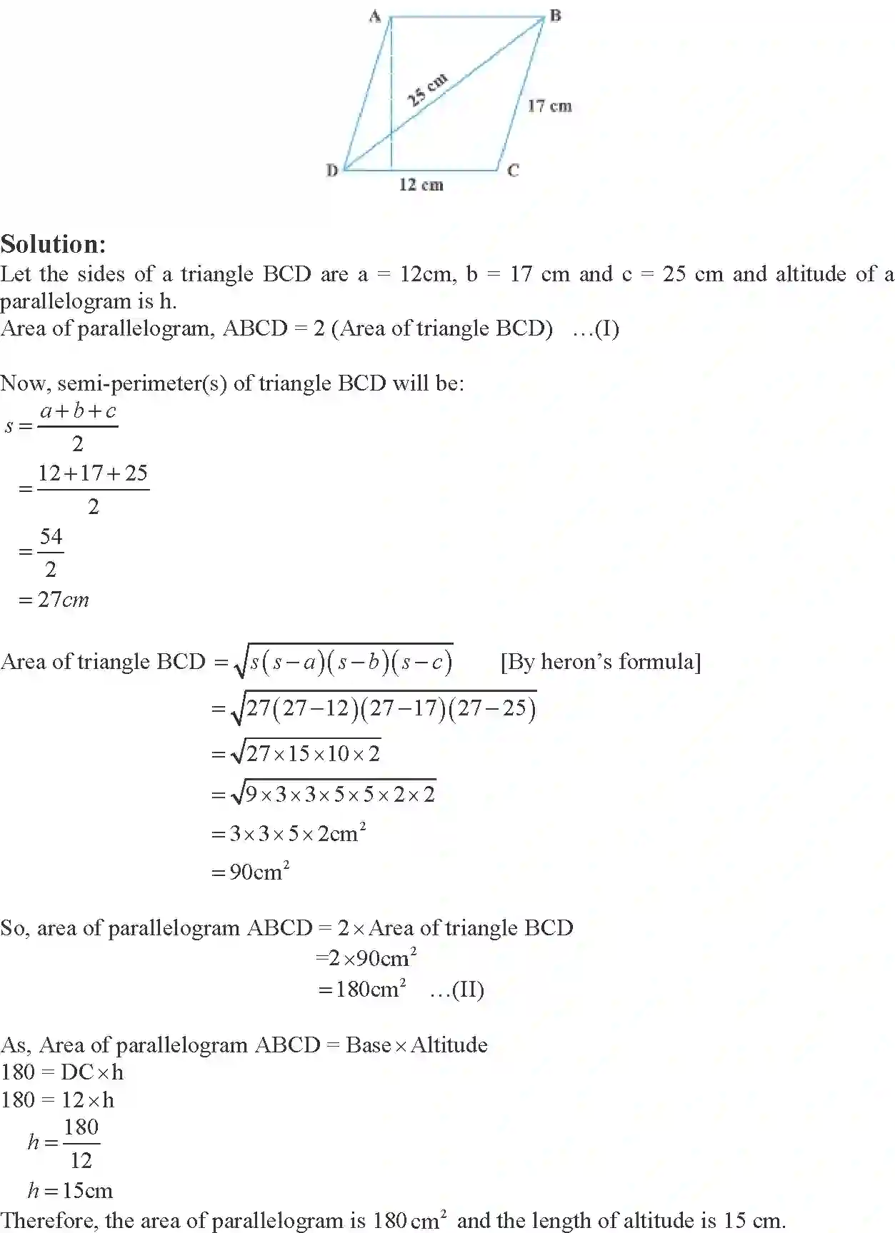
NCERT-Solution-Class-9-Maths-Exemplar-Heron’s-Formula-Exemplar-3393-page-1
NCERT-Solution-Class-9-Maths-Exemplar-Heron’s-Formula-Exemplar-3393-page-2
NCERT-Solution-Class-9-Maths-Exemplar-Heron’s-Formula-Exemplar-3393-page-3
NCERT-Solution-Class-9-Maths-Exemplar-Heron’s-Formula-Exemplar-3393-page-4
NCERT-Solution-Class-9-Maths-Exemplar-Heron’s-Formula-Exemplar-3393-page-5
NCERT-Solution-Class-9-Maths-Exemplar-Heron’s-Formula-Exemplar-3393-page-6
NCERT-Solution-Class-9-Maths-Exemplar-Heron’s-Formula-Exemplar-3393-page-7
NCERT-Solution-Class-9-Maths-Exemplar-Heron’s-Formula-Exemplar-3393-page-8
NCERT-Solution-Class-9-Maths-Exemplar-Heron’s-Formula-Exemplar-3393-page-9
NCERT-Solution-Class-9-Maths-Exemplar-Heron’s-Formula-Exemplar-3393-page-10
NCERT-Solution-Class-9-Maths-Exemplar-Heron’s-Formula-Exemplar-3393-page-11
NCERT-Solution-Class-9-Maths-Exemplar-Heron’s-Formula-Exemplar-3393-page-12
NCERT-Solution-Class-9-Maths-Exemplar-Heron’s-Formula-Exemplar-3393-page-13
NCERT-Solution-Class-9-Maths-Exemplar-Heron’s-Formula-Exemplar-3393-page-14
NCERT-Solution-Class-9-Maths-Exemplar-Heron’s-Formula-Exemplar-3393-page-15
NCERT-Solution-Class-9-Maths-Exemplar-Heron’s-Formula-Exemplar-3393-page-16
NCERT-Solution-Class-9-Maths-Exemplar-Heron’s-Formula-Exemplar-3393-page-17
NCERT-Solution-Class-9-Maths-Exemplar-Heron’s-Formula-Exemplar-3393-page-18
NCERT-Solution-Class-9-Maths-Exemplar-Heron’s-Formula-Exemplar-3393-page-19
NCERT-Solution-Class-9-Maths-Exemplar-Heron’s-Formula-Exemplar-3393-page-20
NCERT-Solution-Class-9-Maths-Exemplar-Heron’s-Formula-Exemplar-3393-page-21
NCERT-Solution-Class-9-Maths-Exemplar-Heron’s-Formula-Exemplar-3393-page-22
NCERT-Solution-Class-9-Maths-Exemplar-Heron’s-Formula-Exemplar-3393-page-23
NCERT-Solution-Class-9-Maths-Exemplar-Heron’s-Formula-Exemplar-3393-page-24
NCERT-Solution-Class-9-Maths-Exemplar-Heron’s-Formula-Exemplar-3393-page-25
NCERT-Solution-Class-9-Maths-Exemplar-Heron’s-Formula-Exemplar-3393-page-26
NCERT-Solution-Class-9-Maths-Exemplar-Heron’s-Formula-Exemplar-3393-page-27
NCERT-Solution-Class-9-Maths-Exemplar-Heron’s-Formula-Exemplar-3393-page-28
NCERT-Solution-Class-9-Maths-Exemplar-Heron’s-Formula-Exemplar-3393-page-29
NCERT-Solution-Class-9-Maths-Exemplar-Heron’s-Formula-Exemplar-3393-page-30

Share a Word about Us

Facebook Twitter Whatsapp

;