NCERT Solutionss Logo

Class 11 Maths Chapter 13 Limits and Derivatives Solution of NCERT

Here We have provided Latest NCERT Solution for Class 11 of Maths for free, Here are some quick information about the same which will be helpful for you to identify the content that is offerend on this page. Based on that you can plan whether you need to read it or not:
Board : CBSE (Central Board of Secondary Education)
Books : NCERT (National counsil of education, research and Training)
Content : Solution
Class : Class 11
Subject : Maths
Langauge : urdu
Chapter : Chapter 13 Limits and Derivatives
NCERT-Solution-Class-11-Maths-Chapter-13-Limits-and-Derivatives-2576-page-1
NCERT-Solution-Class-11-Maths-Chapter-13-Limits-and-Derivatives-2576-page-2
NCERT-Solution-Class-11-Maths-Chapter-13-Limits-and-Derivatives-2576-page-3
NCERT-Solution-Class-11-Maths-Chapter-13-Limits-and-Derivatives-2576-page-4
NCERT-Solution-Class-11-Maths-Chapter-13-Limits-and-Derivatives-2576-page-5
NCERT-Solution-Class-11-Maths-Chapter-13-Limits-and-Derivatives-2576-page-6
NCERT-Solution-Class-11-Maths-Chapter-13-Limits-and-Derivatives-2576-page-7
NCERT-Solution-Class-11-Maths-Chapter-13-Limits-and-Derivatives-2576-page-8
NCERT-Solution-Class-11-Maths-Chapter-13-Limits-and-Derivatives-2576-page-9
NCERT-Solution-Class-11-Maths-Chapter-13-Limits-and-Derivatives-2576-page-10
NCERT-Solution-Class-11-Maths-Chapter-13-Limits-and-Derivatives-2576-page-11
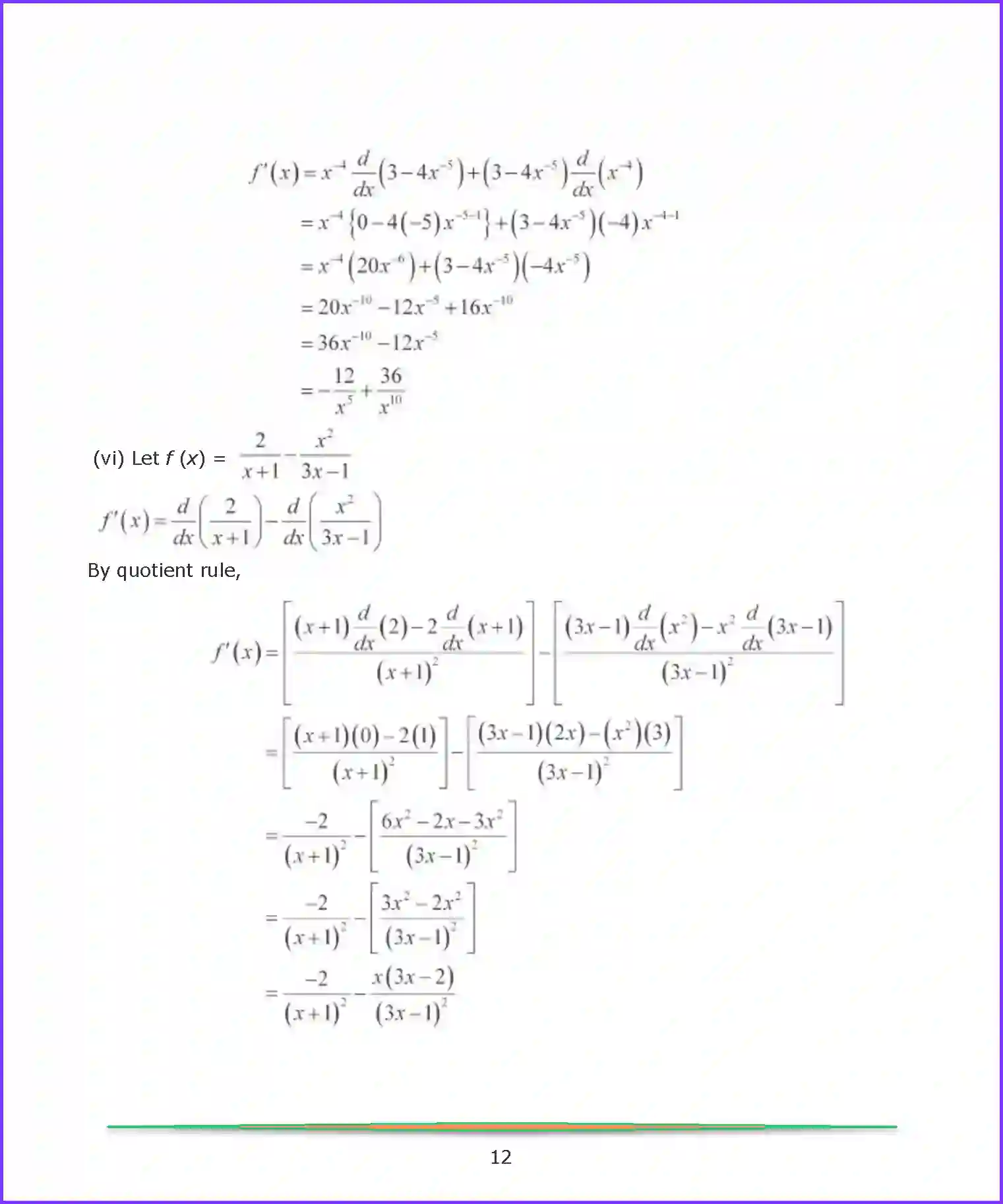
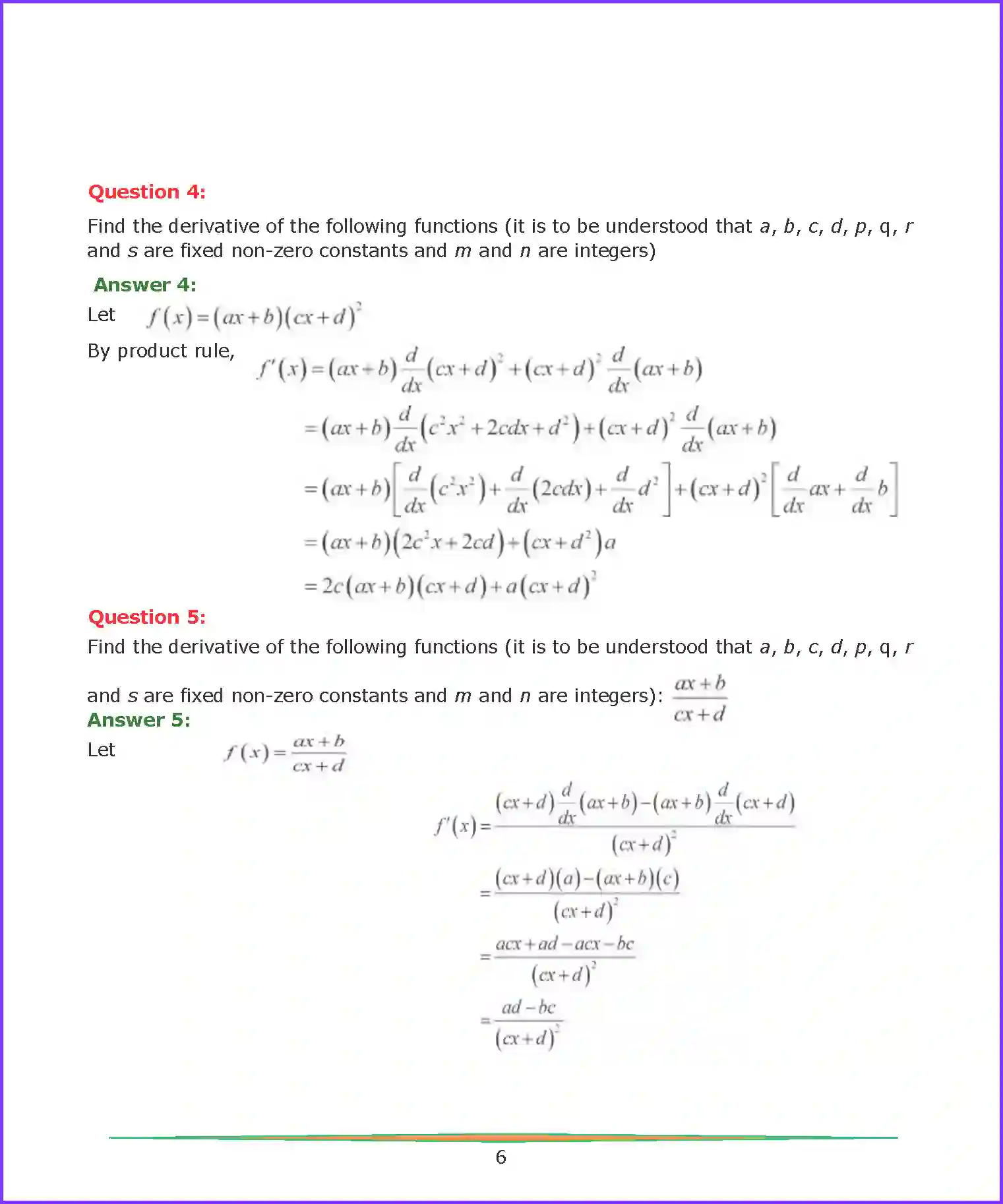
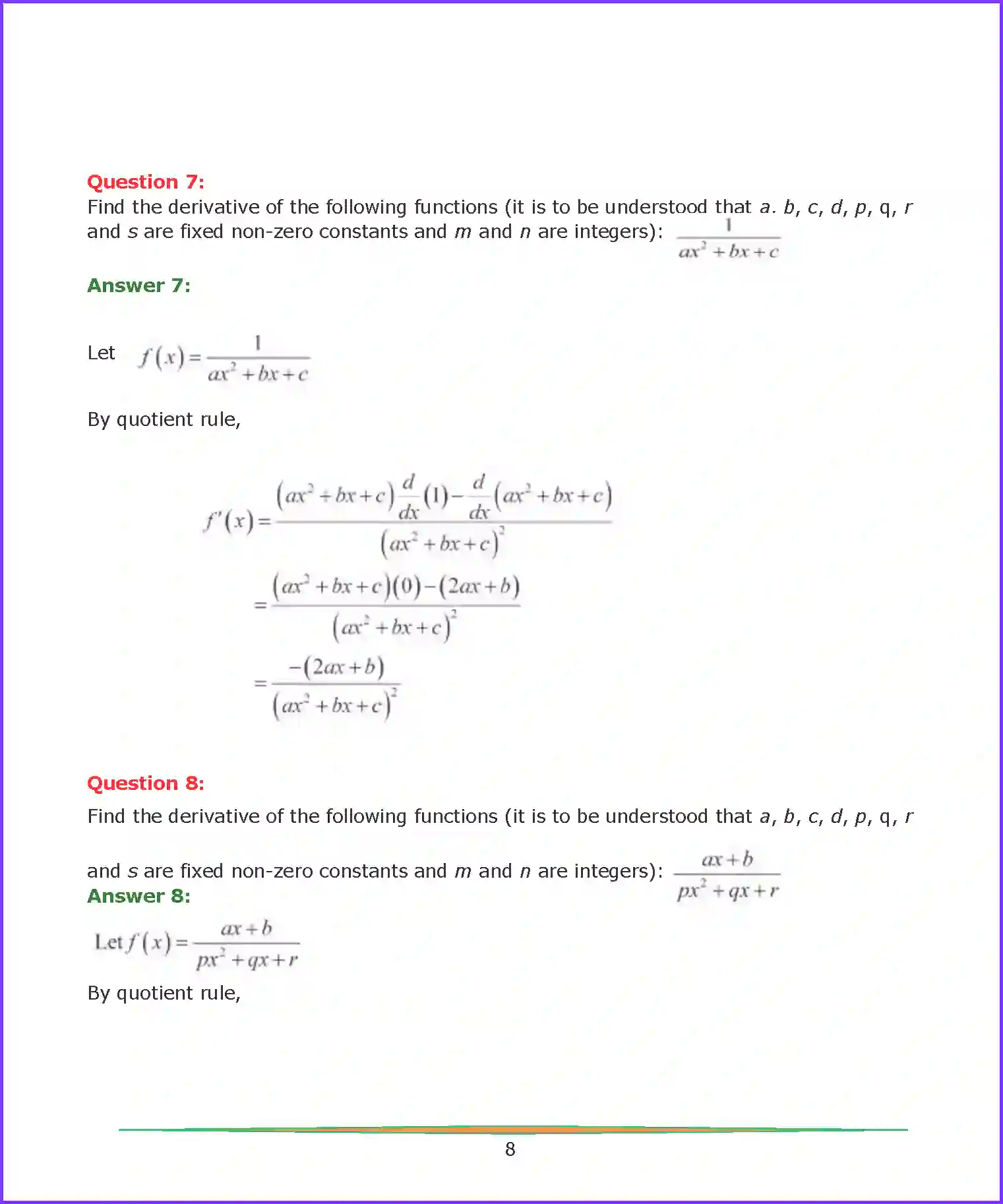
NCERT-Solution-Class-11-Maths-Chapter-13-Limits-and-Derivatives-2576-page-12
NCERT-Solution-Class-11-Maths-Chapter-13-Limits-and-Derivatives-2576-page-13
NCERT-Solution-Class-11-Maths-Chapter-13-Limits-and-Derivatives-2576-page-14
NCERT-Solution-Class-11-Maths-Chapter-13-Limits-and-Derivatives-2576-page-15
NCERT-Solution-Class-11-Maths-Chapter-13-Limits-and-Derivatives-2576-page-16
NCERT-Solution-Class-11-Maths-Chapter-13-Limits-and-Derivatives-2576-page-17
NCERT-Solution-Class-11-Maths-Chapter-13-Limits-and-Derivatives-2576-page-18
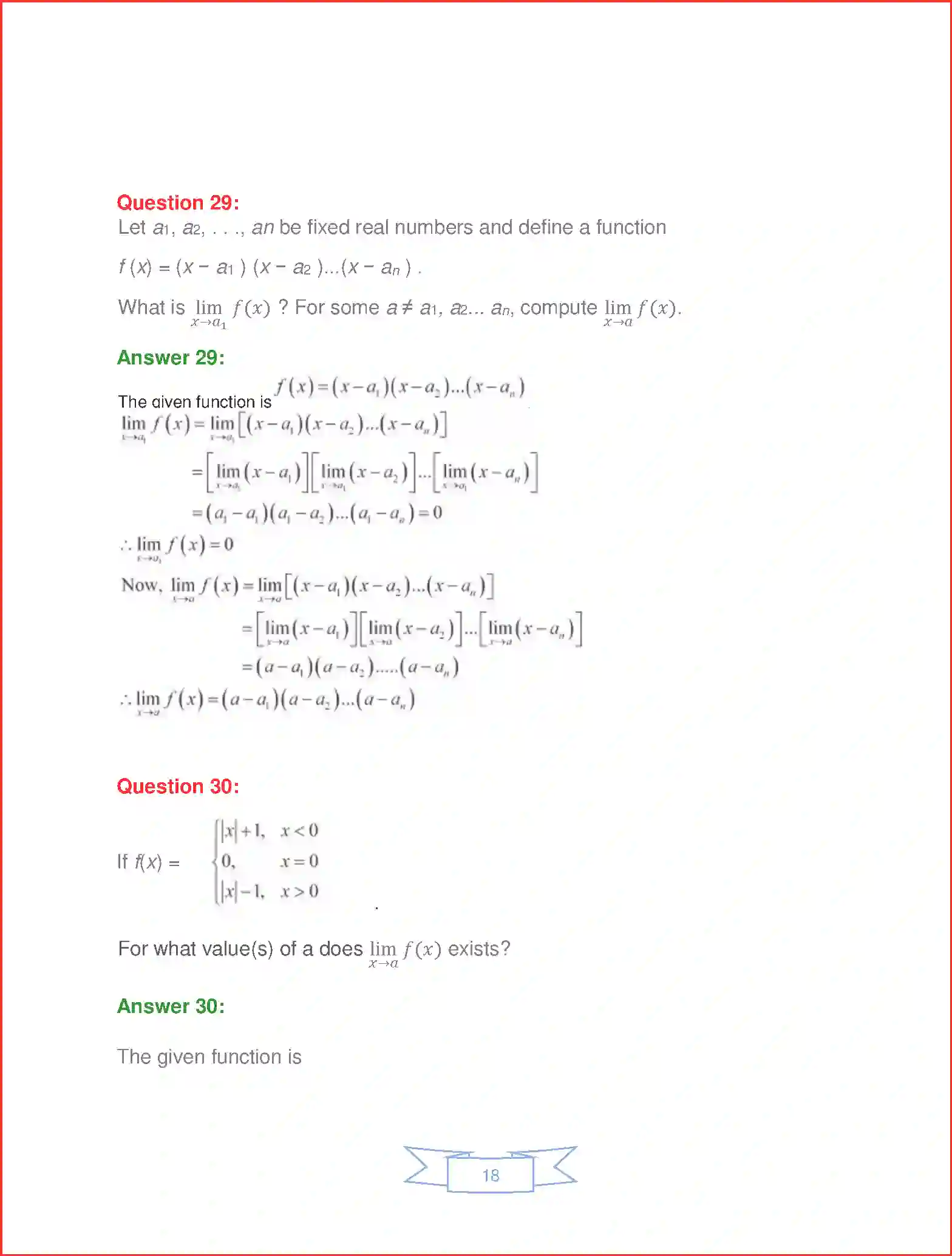
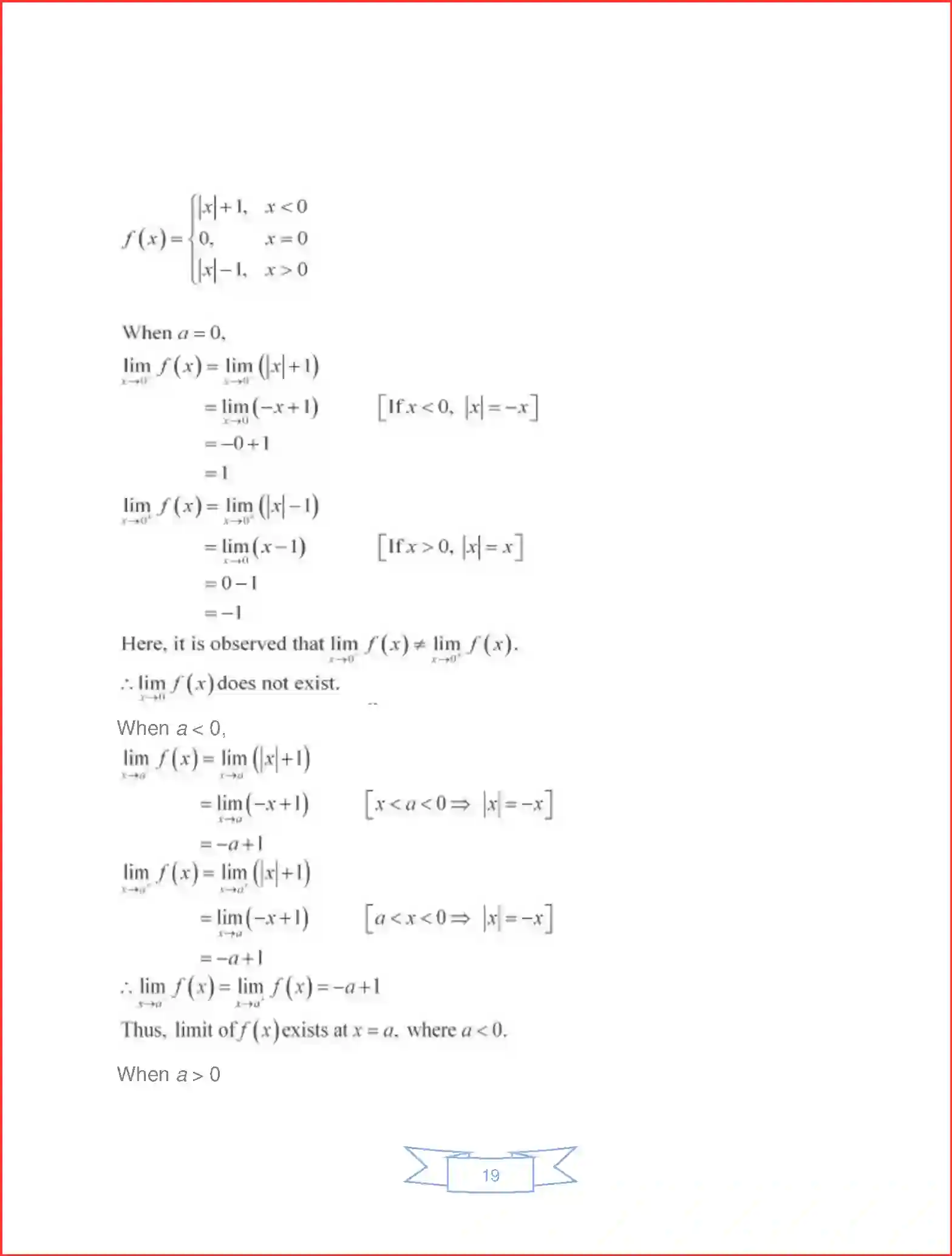
NCERT-Solution-Class-11-Maths-Chapter-13-Limits-and-Derivatives-2576-page-19
NCERT-Solution-Class-11-Maths-Chapter-13-Limits-and-Derivatives-2576-page-20
NCERT-Solution-Class-11-Maths-Chapter-13-Limits-and-Derivatives-2576-page-21
NCERT-Solution-Class-11-Maths-Chapter-13-Limits-and-Derivatives-2576-page-22
NCERT-Solution-Class-11-Maths-Chapter-13-Limits-and-Derivatives-2576-page-23
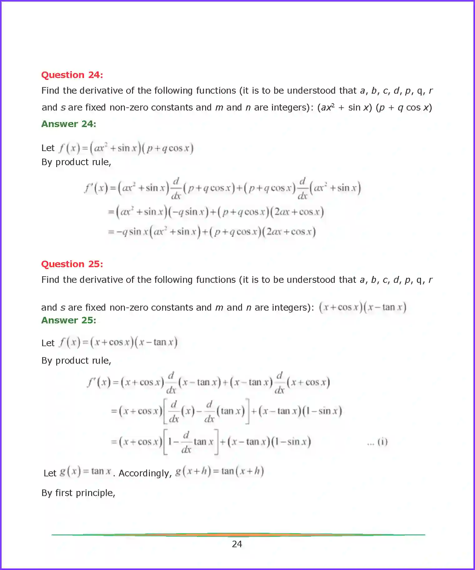
NCERT-Solution-Class-11-Maths-Chapter-13-Limits-and-Derivatives-2576-page-24
NCERT-Solution-Class-11-Maths-Chapter-13-Limits-and-Derivatives-2576-page-25
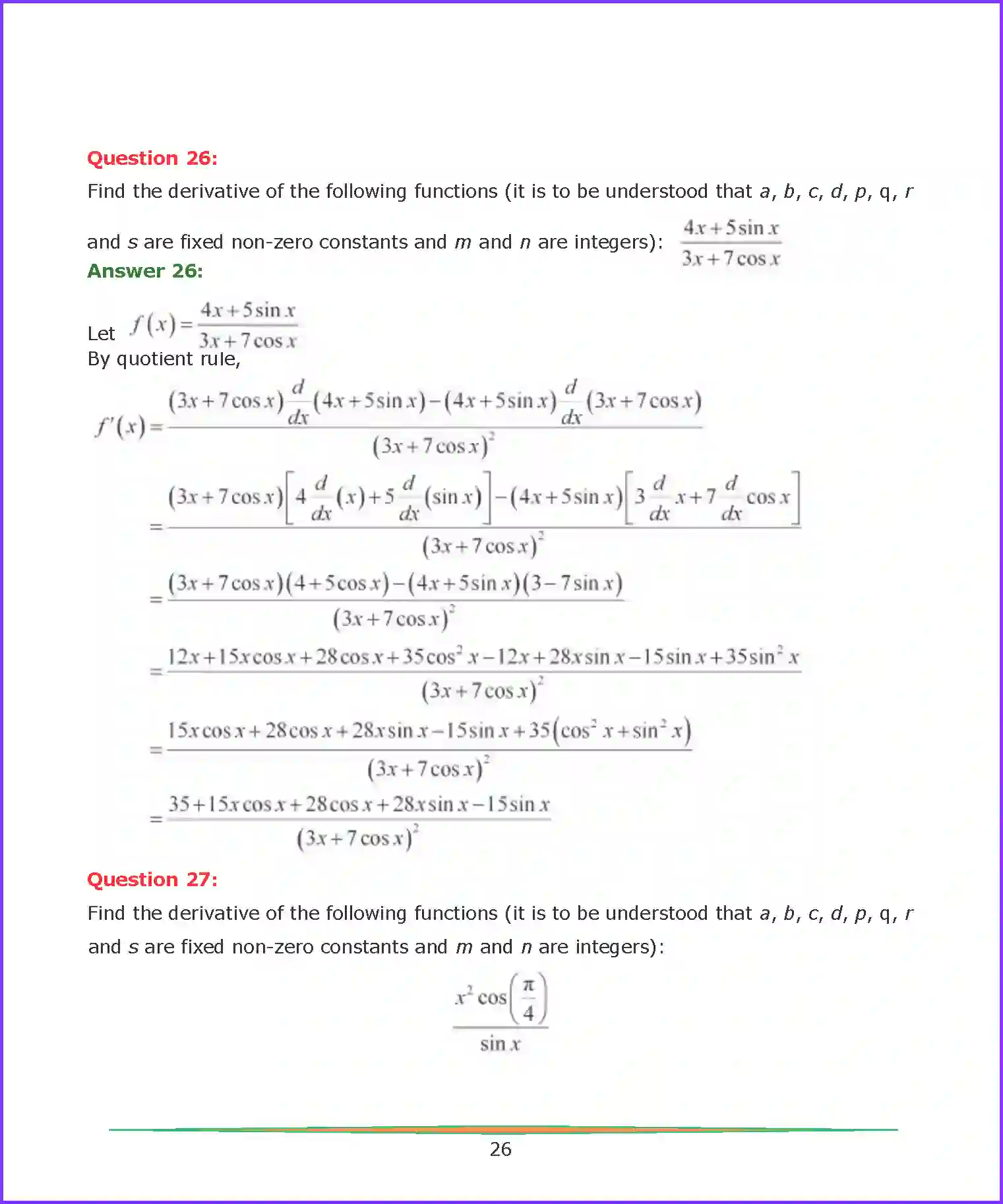
NCERT-Solution-Class-11-Maths-Chapter-13-Limits-and-Derivatives-2576-page-26
NCERT-Solution-Class-11-Maths-Chapter-13-Limits-and-Derivatives-2576-page-27
NCERT-Solution-Class-11-Maths-Chapter-13-Limits-and-Derivatives-2576-page-28
NCERT-Solution-Class-11-Maths-Chapter-13-Limits-and-Derivatives-2576-page-29
NCERT-Solution-Class-11-Maths-Chapter-13-Limits-and-Derivatives-2576-page-30
NCERT-Solution-Class-11-Maths-Chapter-13-Limits-and-Derivatives-2576-page-31
NCERT-Solution-Class-11-Maths-Chapter-13-Limits-and-Derivatives-2576-page-32
NCERT-Solution-Class-11-Maths-Chapter-13-Limits-and-Derivatives-2576-page-33
NCERT-Solution-Class-11-Maths-Chapter-13-Limits-and-Derivatives-2576-page-34
NCERT-Solution-Class-11-Maths-Chapter-13-Limits-and-Derivatives-2576-page-35
NCERT-Solution-Class-11-Maths-Chapter-13-Limits-and-Derivatives-2576-page-36
NCERT-Solution-Class-11-Maths-Chapter-13-Limits-and-Derivatives-2576-page-37
NCERT-Solution-Class-11-Maths-Chapter-13-Limits-and-Derivatives-2576-page-38
NCERT-Solution-Class-11-Maths-Chapter-13-Limits-and-Derivatives-2576-page-39
NCERT-Solution-Class-11-Maths-Chapter-13-Limits-and-Derivatives-2576-page-40
NCERT-Solution-Class-11-Maths-Chapter-13-Limits-and-Derivatives-2576-page-41
NCERT-Solution-Class-11-Maths-Chapter-13-Limits-and-Derivatives-2576-page-42
NCERT-Solution-Class-11-Maths-Chapter-13-Limits-and-Derivatives-2576-page-43
NCERT-Solution-Class-11-Maths-Chapter-13-Limits-and-Derivatives-2576-page-44
NCERT-Solution-Class-11-Maths-Chapter-13-Limits-and-Derivatives-2576-page-45
NCERT-Solution-Class-11-Maths-Chapter-13-Limits-and-Derivatives-2576-page-46
NCERT-Solution-Class-11-Maths-Chapter-13-Limits-and-Derivatives-2576-page-47
NCERT-Solution-Class-11-Maths-Chapter-13-Limits-and-Derivatives-2576-page-48
NCERT-Solution-Class-11-Maths-Chapter-13-Limits-and-Derivatives-2576-page-49
NCERT-Solution-Class-11-Maths-Chapter-13-Limits-and-Derivatives-2576-page-50
NCERT-Solution-Class-11-Maths-Chapter-13-Limits-and-Derivatives-2576-page-51
NCERT-Solution-Class-11-Maths-Chapter-13-Limits-and-Derivatives-2576-page-52
NCERT-Solution-Class-11-Maths-Chapter-13-Limits-and-Derivatives-2576-page-53
NCERT-Solution-Class-11-Maths-Chapter-13-Limits-and-Derivatives-2576-page-54
NCERT-Solution-Class-11-Maths-Chapter-13-Limits-and-Derivatives-2576-page-55
NCERT-Solution-Class-11-Maths-Chapter-13-Limits-and-Derivatives-2576-page-56
NCERT-Solution-Class-11-Maths-Chapter-13-Limits-and-Derivatives-2576-page-57
NCERT-Solution-Class-11-Maths-Chapter-13-Limits-and-Derivatives-2576-page-58
NCERT-Solution-Class-11-Maths-Chapter-13-Limits-and-Derivatives-2576-page-59
NCERT-Solution-Class-11-Maths-Chapter-13-Limits-and-Derivatives-2576-page-60
NCERT-Solution-Class-11-Maths-Chapter-13-Limits-and-Derivatives-2576-page-61
NCERT-Solution-Class-11-Maths-Chapter-13-Limits-and-Derivatives-2576-page-62
NCERT-Solution-Class-11-Maths-Chapter-13-Limits-and-Derivatives-2576-page-63
NCERT-Solution-Class-11-Maths-Chapter-13-Limits-and-Derivatives-2576-page-64
NCERT-Solution-Class-11-Maths-Chapter-13-Limits-and-Derivatives-2576-page-65
NCERT-Solution-Class-11-Maths-Chapter-13-Limits-and-Derivatives-2576-page-66
NCERT-Solution-Class-11-Maths-Chapter-13-Limits-and-Derivatives-2576-page-67
NCERT-Solution-Class-11-Maths-Chapter-13-Limits-and-Derivatives-2576-page-68
NCERT-Solution-Class-11-Maths-Chapter-13-Limits-and-Derivatives-2576-page-69
NCERT-Solution-Class-11-Maths-Chapter-13-Limits-and-Derivatives-2576-page-70
NCERT-Solution-Class-11-Maths-Chapter-13-Limits-and-Derivatives-2576-page-71
NCERT-Solution-Class-11-Maths-Chapter-13-Limits-and-Derivatives-2576-page-72
NCERT-Solution-Class-11-Maths-Chapter-13-Limits-and-Derivatives-2576-page-73
NCERT-Solution-Class-11-Maths-Chapter-13-Limits-and-Derivatives-2576-page-74
NCERT-Solution-Class-11-Maths-Chapter-13-Limits-and-Derivatives-2576-page-75
NCERT-Solution-Class-11-Maths-Chapter-13-Limits-and-Derivatives-2576-page-76
NCERT-Solution-Class-11-Maths-Chapter-13-Limits-and-Derivatives-2576-page-77
NCERT-Solution-Class-11-Maths-Chapter-13-Limits-and-Derivatives-2576-page-78

Share a Word about Us

Facebook Twitter Whatsapp

;