NCERT Solutionss Logo

Class 10 Maths Chapter 3 Solution of NCERT

Here We have provided Latest NCERT Solution for Class 10 of Maths for free, Here are some quick information about the same which will be helpful for you to identify the content that is offerend on this page. Based on that you can plan whether you need to read it or not:
Board : CBSE (Central Board of Secondary Education)
Books : NCERT (National counsil of education, research and Training)
Content : Solution
Class : Class 10
Subject : Maths
Langauge : urdu
Chapter : Chapter 3
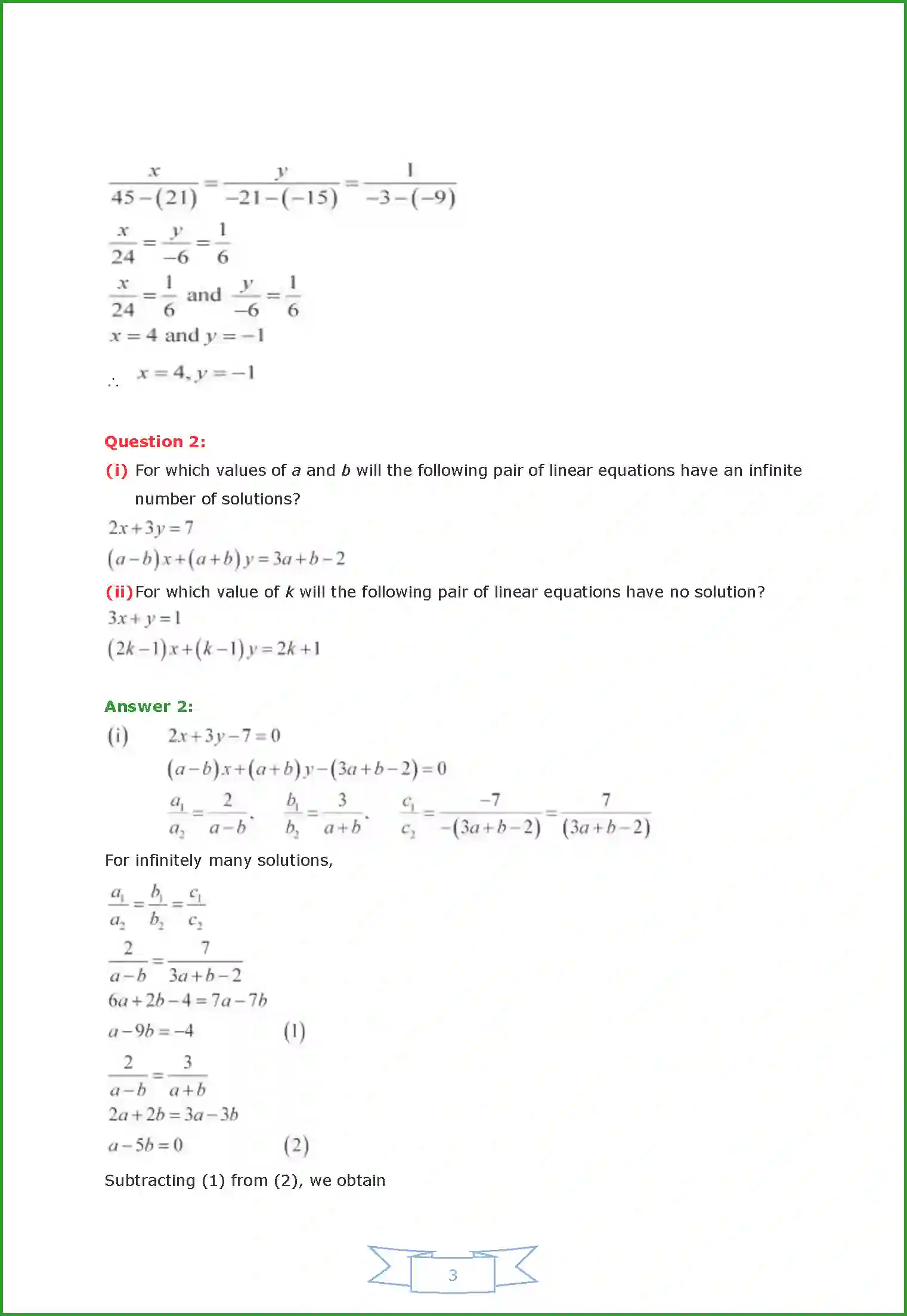
NCERT-Solution-Class-10-Maths-Chapter-3-2963-page-1
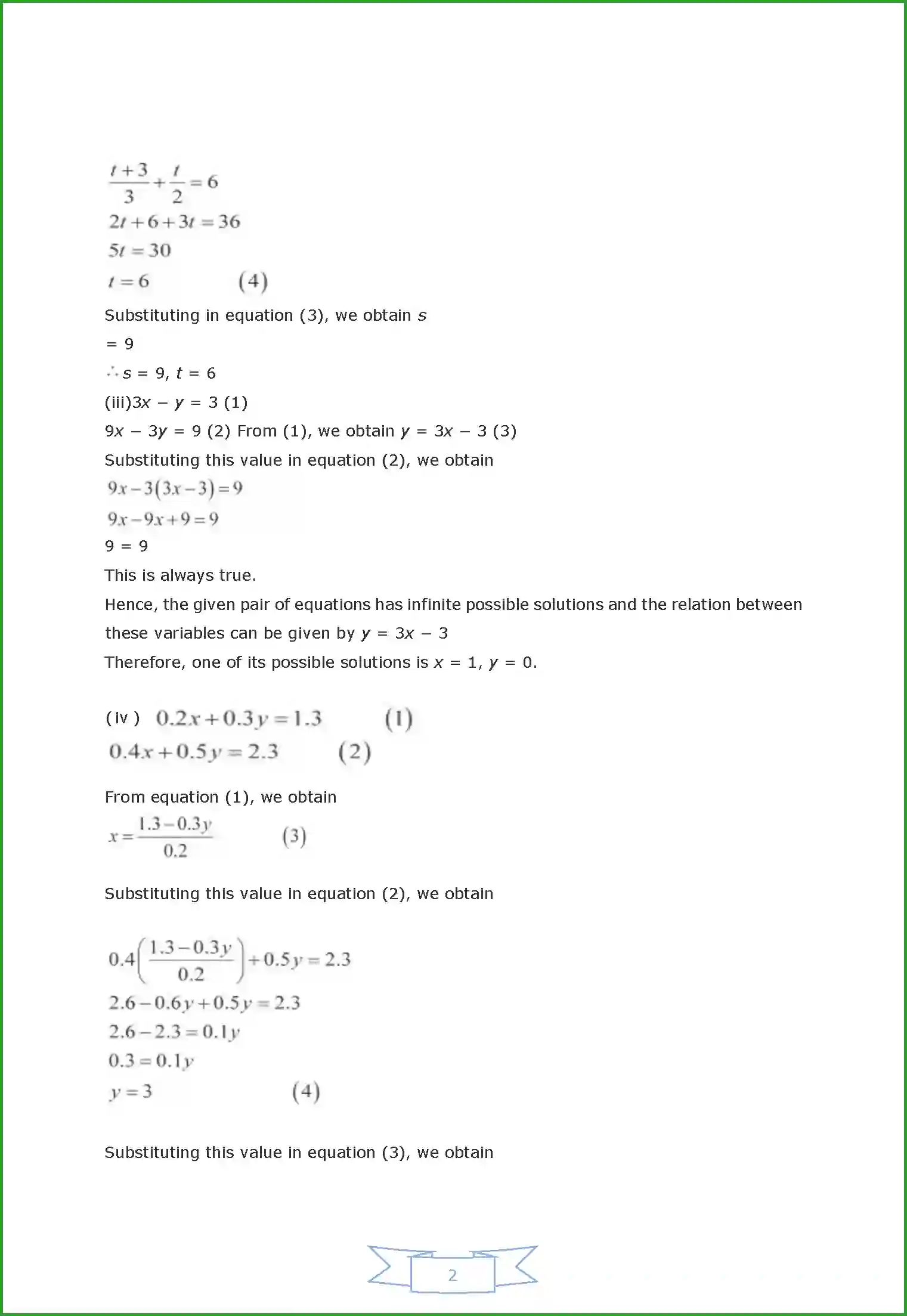
NCERT-Solution-Class-10-Maths-Chapter-3-2963-page-2
NCERT-Solution-Class-10-Maths-Chapter-3-2963-page-3
NCERT-Solution-Class-10-Maths-Chapter-3-2963-page-4
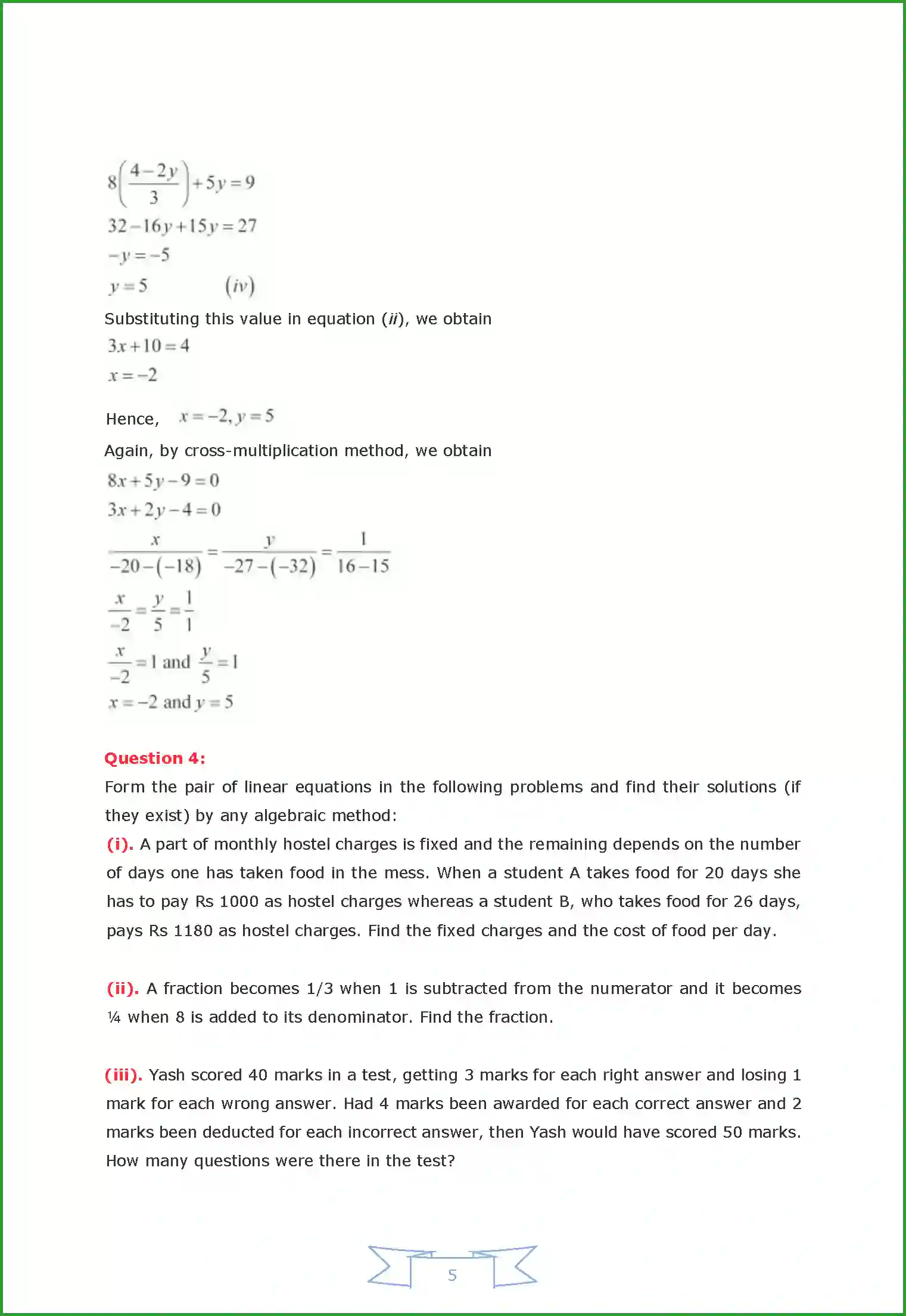
NCERT-Solution-Class-10-Maths-Chapter-3-2963-page-5
NCERT-Solution-Class-10-Maths-Chapter-3-2963-page-6
NCERT-Solution-Class-10-Maths-Chapter-3-2963-page-7
NCERT-Solution-Class-10-Maths-Chapter-3-2963-page-8
NCERT-Solution-Class-10-Maths-Chapter-3-2963-page-9
NCERT-Solution-Class-10-Maths-Chapter-3-2963-page-10
NCERT-Solution-Class-10-Maths-Chapter-3-2963-page-11
NCERT-Solution-Class-10-Maths-Chapter-3-2963-page-12
NCERT-Solution-Class-10-Maths-Chapter-3-2963-page-13
NCERT-Solution-Class-10-Maths-Chapter-3-2963-page-14
NCERT-Solution-Class-10-Maths-Chapter-3-2963-page-15
NCERT-Solution-Class-10-Maths-Chapter-3-2963-page-16
NCERT-Solution-Class-10-Maths-Chapter-3-2963-page-17
NCERT-Solution-Class-10-Maths-Chapter-3-2963-page-18
NCERT-Solution-Class-10-Maths-Chapter-3-2963-page-19
NCERT-Solution-Class-10-Maths-Chapter-3-2963-page-20
NCERT-Solution-Class-10-Maths-Chapter-3-2963-page-21
NCERT-Solution-Class-10-Maths-Chapter-3-2963-page-22
NCERT-Solution-Class-10-Maths-Chapter-3-2963-page-23
NCERT-Solution-Class-10-Maths-Chapter-3-2963-page-24
NCERT-Solution-Class-10-Maths-Chapter-3-2963-page-25
NCERT-Solution-Class-10-Maths-Chapter-3-2963-page-26
NCERT-Solution-Class-10-Maths-Chapter-3-2963-page-27
NCERT-Solution-Class-10-Maths-Chapter-3-2963-page-28
NCERT-Solution-Class-10-Maths-Chapter-3-2963-page-29
NCERT-Solution-Class-10-Maths-Chapter-3-2963-page-30
NCERT-Solution-Class-10-Maths-Chapter-3-2963-page-31
NCERT-Solution-Class-10-Maths-Chapter-3-2963-page-32
NCERT-Solution-Class-10-Maths-Chapter-3-2963-page-33
NCERT-Solution-Class-10-Maths-Chapter-3-2963-page-34
NCERT-Solution-Class-10-Maths-Chapter-3-2963-page-35
NCERT-Solution-Class-10-Maths-Chapter-3-2963-page-36
NCERT-Solution-Class-10-Maths-Chapter-3-2963-page-37
NCERT-Solution-Class-10-Maths-Chapter-3-2963-page-38
NCERT-Solution-Class-10-Maths-Chapter-3-2963-page-39
NCERT-Solution-Class-10-Maths-Chapter-3-2963-page-40
NCERT-Solution-Class-10-Maths-Chapter-3-2963-page-41
NCERT-Solution-Class-10-Maths-Chapter-3-2963-page-42
NCERT-Solution-Class-10-Maths-Chapter-3-2963-page-43
NCERT-Solution-Class-10-Maths-Chapter-3-2963-page-44
NCERT-Solution-Class-10-Maths-Chapter-3-2963-page-45
NCERT-Solution-Class-10-Maths-Chapter-3-2963-page-46
NCERT-Solution-Class-10-Maths-Chapter-3-2963-page-47
NCERT-Solution-Class-10-Maths-Chapter-3-2963-page-48
NCERT-Solution-Class-10-Maths-Chapter-3-2963-page-49
NCERT-Solution-Class-10-Maths-Chapter-3-2963-page-50
NCERT-Solution-Class-10-Maths-Chapter-3-2963-page-51
NCERT-Solution-Class-10-Maths-Chapter-3-2963-page-52
NCERT-Solution-Class-10-Maths-Chapter-3-2963-page-53
NCERT-Solution-Class-10-Maths-Chapter-3-2963-page-54
NCERT-Solution-Class-10-Maths-Chapter-3-2963-page-55
NCERT-Solution-Class-10-Maths-Chapter-3-2963-page-56
NCERT-Solution-Class-10-Maths-Chapter-3-2963-page-57
NCERT-Solution-Class-10-Maths-Chapter-3-2963-page-58
NCERT-Solution-Class-10-Maths-Chapter-3-2963-page-59
NCERT-Solution-Class-10-Maths-Chapter-3-2963-page-60
NCERT-Solution-Class-10-Maths-Chapter-3-2963-page-61
NCERT-Solution-Class-10-Maths-Chapter-3-2963-page-62
NCERT-Solution-Class-10-Maths-Chapter-3-2963-page-63
NCERT-Solution-Class-10-Maths-Chapter-3-2963-page-64

Share a Word about Us

Facebook Twitter Whatsapp

;