NCERT Solutionss Logo

Class 8 Maths Chapter 9 Algebraic Expressions and Identities Solution of NCERT

Here We have provided Latest NCERT Solution for Class 8 of Maths for free, Here are some quick information about the same which will be helpful for you to identify the content that is offerend on this page. Based on that you can plan whether you need to read it or not:
Board : CBSE (Central Board of Secondary Education)
Books : NCERT (National counsil of education, research and Training)
Content : Solution
Class : Class 8
Subject : Maths
Langauge : english
Chapter : Chapter 9 Algebraic Expressions and Identities
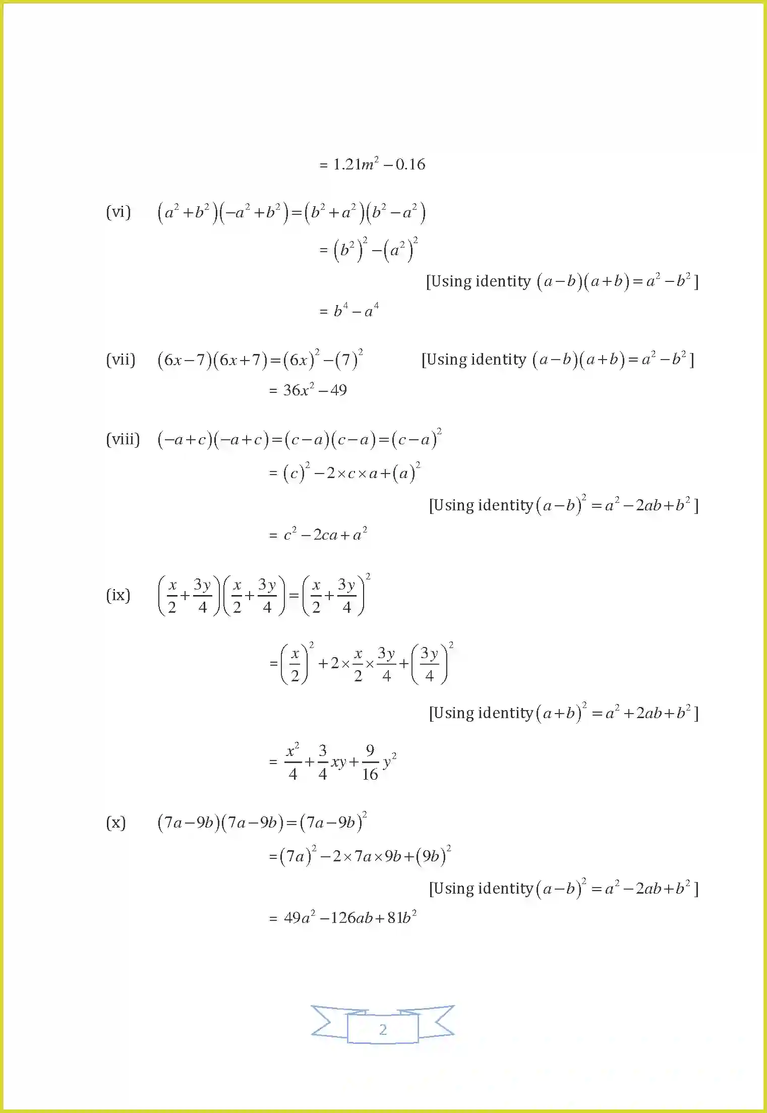
NCERT-Solution-Class-8-Maths-Chapter-9-Algebraic-Expressions-and-Identities-1281-page-1
NCERT-Solution-Class-8-Maths-Chapter-9-Algebraic-Expressions-and-Identities-1281-page-2
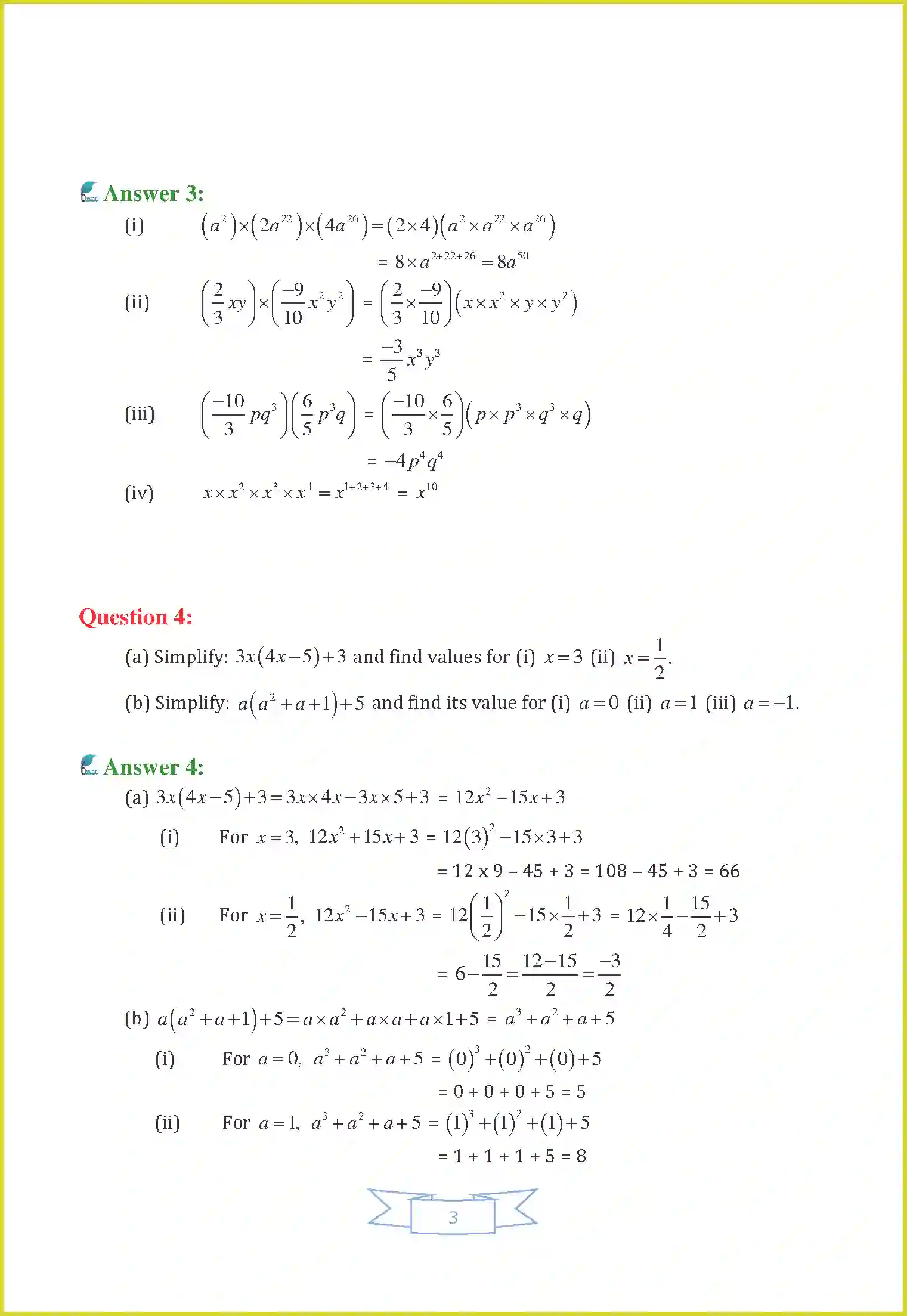
NCERT-Solution-Class-8-Maths-Chapter-9-Algebraic-Expressions-and-Identities-1281-page-3
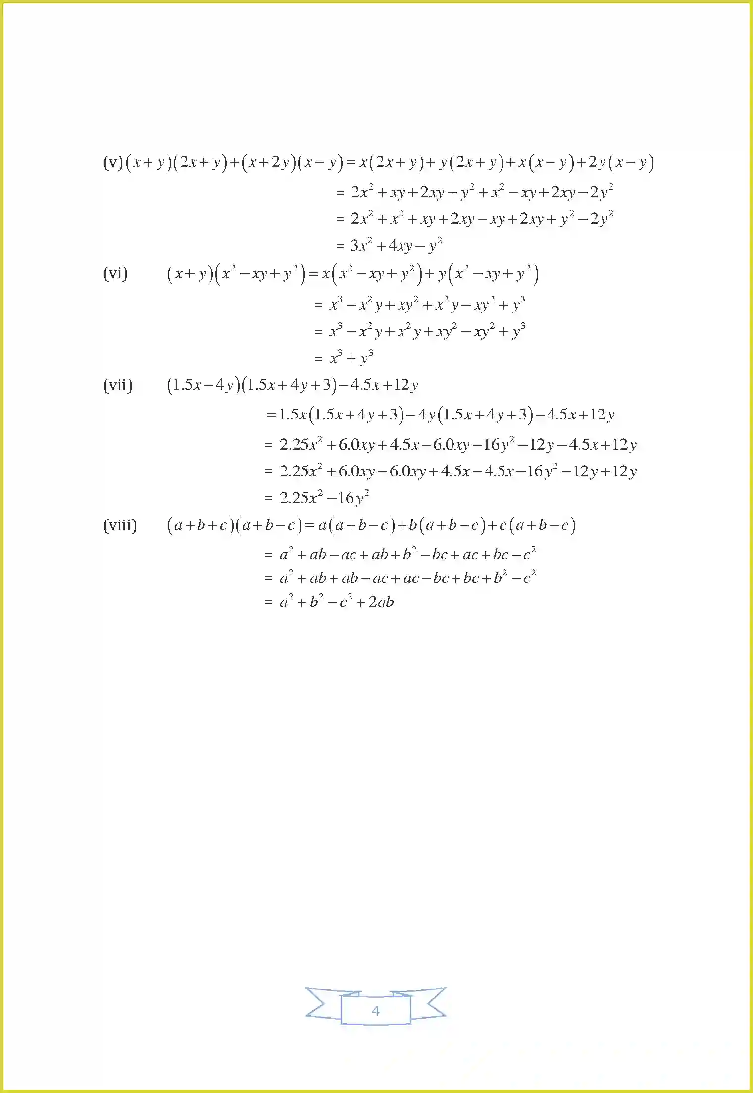
NCERT-Solution-Class-8-Maths-Chapter-9-Algebraic-Expressions-and-Identities-1281-page-4
NCERT-Solution-Class-8-Maths-Chapter-9-Algebraic-Expressions-and-Identities-1281-page-5
NCERT-Solution-Class-8-Maths-Chapter-9-Algebraic-Expressions-and-Identities-1281-page-6
NCERT-Solution-Class-8-Maths-Chapter-9-Algebraic-Expressions-and-Identities-1281-page-7
NCERT-Solution-Class-8-Maths-Chapter-9-Algebraic-Expressions-and-Identities-1281-page-8
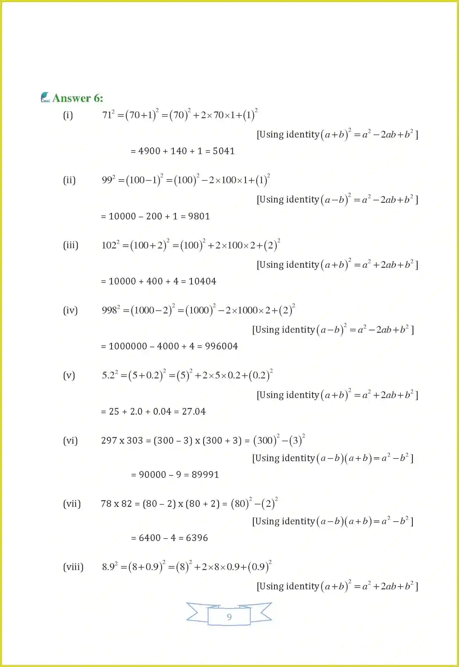
NCERT-Solution-Class-8-Maths-Chapter-9-Algebraic-Expressions-and-Identities-1281-page-9
NCERT-Solution-Class-8-Maths-Chapter-9-Algebraic-Expressions-and-Identities-1281-page-10
NCERT-Solution-Class-8-Maths-Chapter-9-Algebraic-Expressions-and-Identities-1281-page-11
NCERT-Solution-Class-8-Maths-Chapter-9-Algebraic-Expressions-and-Identities-1281-page-12
NCERT-Solution-Class-8-Maths-Chapter-9-Algebraic-Expressions-and-Identities-1281-page-13
NCERT-Solution-Class-8-Maths-Chapter-9-Algebraic-Expressions-and-Identities-1281-page-14
NCERT-Solution-Class-8-Maths-Chapter-9-Algebraic-Expressions-and-Identities-1281-page-15
NCERT-Solution-Class-8-Maths-Chapter-9-Algebraic-Expressions-and-Identities-1281-page-16
NCERT-Solution-Class-8-Maths-Chapter-9-Algebraic-Expressions-and-Identities-1281-page-17
NCERT-Solution-Class-8-Maths-Chapter-9-Algebraic-Expressions-and-Identities-1281-page-18
NCERT-Solution-Class-8-Maths-Chapter-9-Algebraic-Expressions-and-Identities-1281-page-19
NCERT-Solution-Class-8-Maths-Chapter-9-Algebraic-Expressions-and-Identities-1281-page-20
NCERT-Solution-Class-8-Maths-Chapter-9-Algebraic-Expressions-and-Identities-1281-page-21
NCERT-Solution-Class-8-Maths-Chapter-9-Algebraic-Expressions-and-Identities-1281-page-22
NCERT-Solution-Class-8-Maths-Chapter-9-Algebraic-Expressions-and-Identities-1281-page-23
NCERT-Solution-Class-8-Maths-Chapter-9-Algebraic-Expressions-and-Identities-1281-page-24
NCERT-Solution-Class-8-Maths-Chapter-9-Algebraic-Expressions-and-Identities-1281-page-25

Share a Word about Us

Facebook Twitter Whatsapp

;