NCERT Solutionss Logo

Class 12 Maths Vector Algebra Solution of NCERT

Here We have provided Latest NCERT Solution for Class 12 of Maths for free, Here are some quick information about the same which will be helpful for you to identify the content that is offerend on this page. Based on that you can plan whether you need to read it or not:
Board : CBSE (Central Board of Secondary Education)
Books : NCERT (National counsil of education, research and Training)
Content : Solution
Class : Class 12
Subject : Maths
Langauge : urdu
Chapter : Vector Algebra
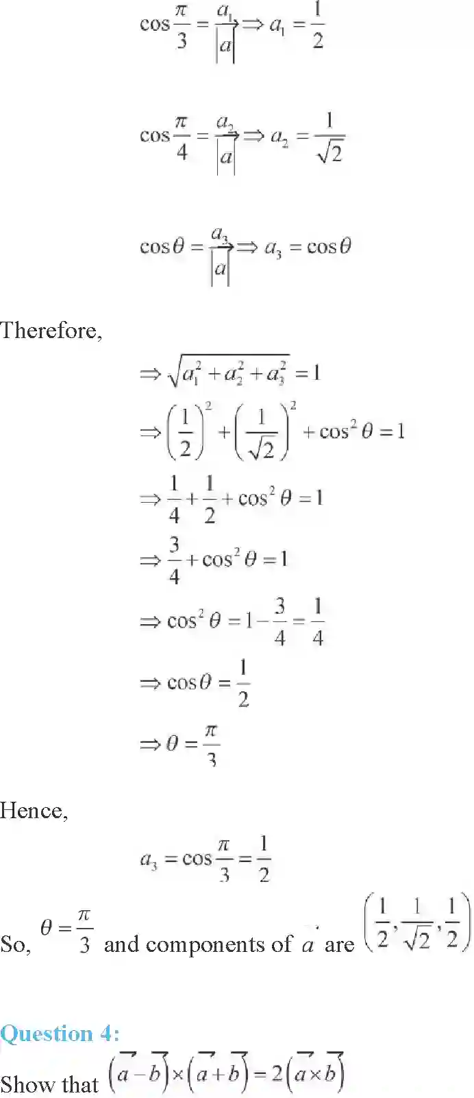
NCERT-Solution-Class-12-Maths-Vector-Algebra-2182-page-1
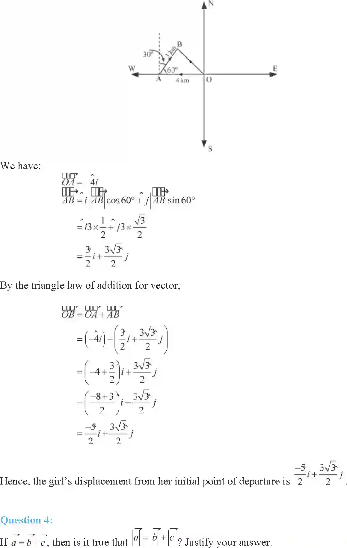
NCERT-Solution-Class-12-Maths-Vector-Algebra-2182-page-2
NCERT-Solution-Class-12-Maths-Vector-Algebra-2182-page-3
NCERT-Solution-Class-12-Maths-Vector-Algebra-2182-page-4
NCERT-Solution-Class-12-Maths-Vector-Algebra-2182-page-5
NCERT-Solution-Class-12-Maths-Vector-Algebra-2182-page-6
NCERT-Solution-Class-12-Maths-Vector-Algebra-2182-page-7
NCERT-Solution-Class-12-Maths-Vector-Algebra-2182-page-8
NCERT-Solution-Class-12-Maths-Vector-Algebra-2182-page-9
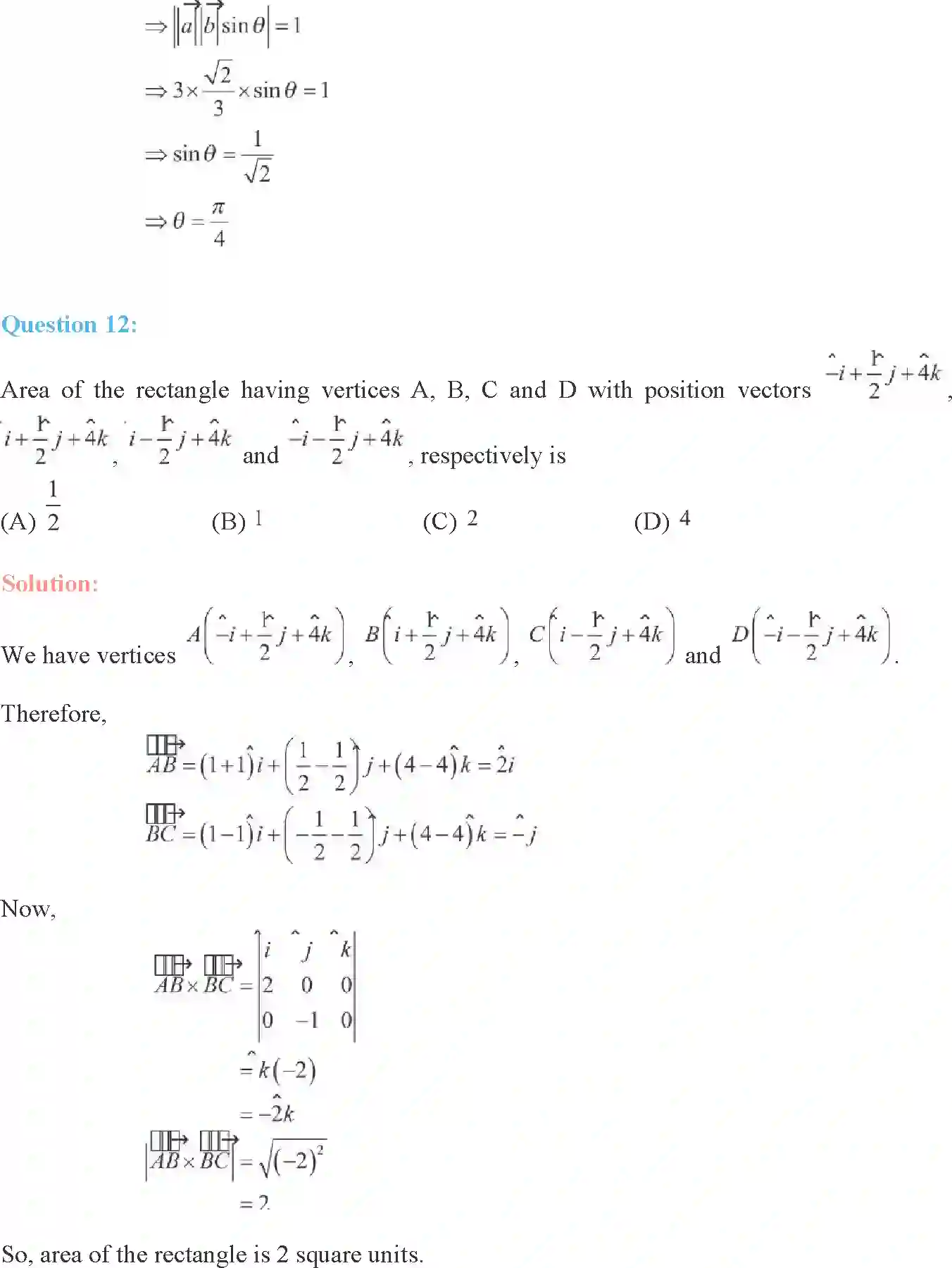
NCERT-Solution-Class-12-Maths-Vector-Algebra-2182-page-10
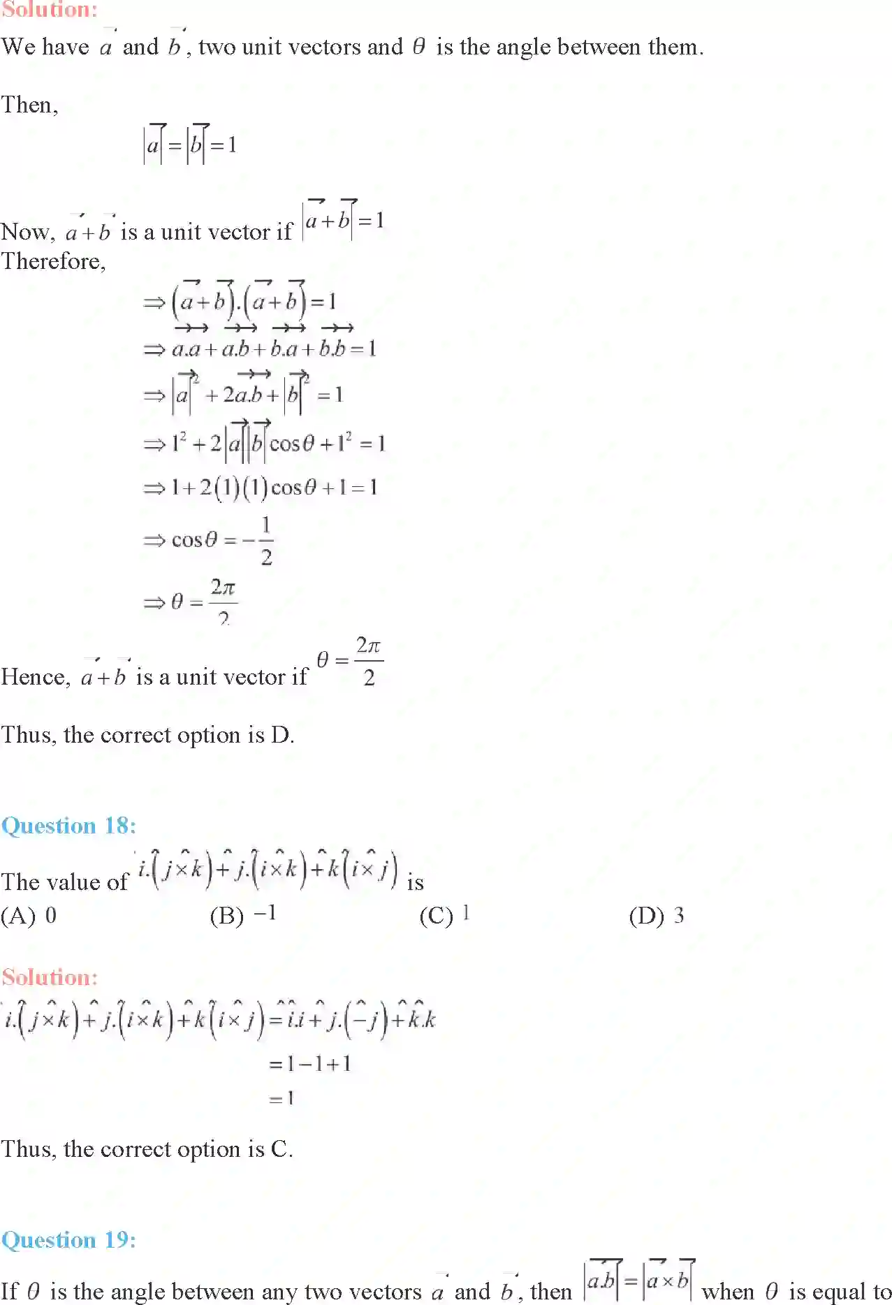
NCERT-Solution-Class-12-Maths-Vector-Algebra-2182-page-11
NCERT-Solution-Class-12-Maths-Vector-Algebra-2182-page-12
NCERT-Solution-Class-12-Maths-Vector-Algebra-2182-page-13
NCERT-Solution-Class-12-Maths-Vector-Algebra-2182-page-14
NCERT-Solution-Class-12-Maths-Vector-Algebra-2182-page-15
NCERT-Solution-Class-12-Maths-Vector-Algebra-2182-page-16
NCERT-Solution-Class-12-Maths-Vector-Algebra-2182-page-17
NCERT-Solution-Class-12-Maths-Vector-Algebra-2182-page-18
NCERT-Solution-Class-12-Maths-Vector-Algebra-2182-page-19
NCERT-Solution-Class-12-Maths-Vector-Algebra-2182-page-20
NCERT-Solution-Class-12-Maths-Vector-Algebra-2182-page-21
NCERT-Solution-Class-12-Maths-Vector-Algebra-2182-page-22
NCERT-Solution-Class-12-Maths-Vector-Algebra-2182-page-23
NCERT-Solution-Class-12-Maths-Vector-Algebra-2182-page-24
NCERT-Solution-Class-12-Maths-Vector-Algebra-2182-page-25
NCERT-Solution-Class-12-Maths-Vector-Algebra-2182-page-26
NCERT-Solution-Class-12-Maths-Vector-Algebra-2182-page-27
NCERT-Solution-Class-12-Maths-Vector-Algebra-2182-page-28
NCERT-Solution-Class-12-Maths-Vector-Algebra-2182-page-29
NCERT-Solution-Class-12-Maths-Vector-Algebra-2182-page-30
NCERT-Solution-Class-12-Maths-Vector-Algebra-2182-page-31
NCERT-Solution-Class-12-Maths-Vector-Algebra-2182-page-32
NCERT-Solution-Class-12-Maths-Vector-Algebra-2182-page-33
NCERT-Solution-Class-12-Maths-Vector-Algebra-2182-page-34
NCERT-Solution-Class-12-Maths-Vector-Algebra-2182-page-35
NCERT-Solution-Class-12-Maths-Vector-Algebra-2182-page-36
NCERT-Solution-Class-12-Maths-Vector-Algebra-2182-page-37
NCERT-Solution-Class-12-Maths-Vector-Algebra-2182-page-38
NCERT-Solution-Class-12-Maths-Vector-Algebra-2182-page-39
NCERT-Solution-Class-12-Maths-Vector-Algebra-2182-page-40
NCERT-Solution-Class-12-Maths-Vector-Algebra-2182-page-41
NCERT-Solution-Class-12-Maths-Vector-Algebra-2182-page-42
NCERT-Solution-Class-12-Maths-Vector-Algebra-2182-page-43
NCERT-Solution-Class-12-Maths-Vector-Algebra-2182-page-44
NCERT-Solution-Class-12-Maths-Vector-Algebra-2182-page-45

Other Chapters solutions of Class 12 Maths of NCERT

Here are other chapters available for study and download for students of Class 12 for Maths subject, click the link below to access the same:
Relations and Functions
Inverse Trigonometric Functions
Matrices
Determinants
Continuity and Differentiability
Applications of Derivatives
Integrals
Applications of Integrals
Differential Equations
Vector Algebra
Three dimensional Geometry
Linear Programming
Probability

Share a Word about Us

Facebook Twitter Whatsapp

;