NCERT Solutionss Logo

Class 12 Physics Exemplar Electromagnetic Induction Solution of NCERT

Here We have provided Latest NCERT Solution for Class 12 of Physics Exemplar for free, Here are some quick information about the same which will be helpful for you to identify the content that is offerend on this page. Based on that you can plan whether you need to read it or not:
Board : CBSE (Central Board of Secondary Education)
Books : NCERT (National counsil of education, research and Training)
Content : Solution
Class : Class 12
Subject : Physics Exemplar
Langauge : urdu
Chapter : Electromagnetic Induction
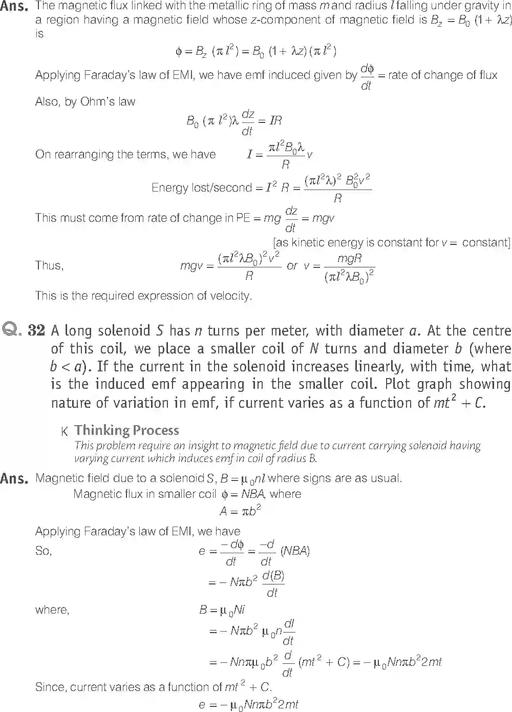
NCERT-Solution-Class-12-Physics-Exemplar-Electromagnetic-Induction-2510-page-1
NCERT-Solution-Class-12-Physics-Exemplar-Electromagnetic-Induction-2510-page-2
NCERT-Solution-Class-12-Physics-Exemplar-Electromagnetic-Induction-2510-page-3
NCERT-Solution-Class-12-Physics-Exemplar-Electromagnetic-Induction-2510-page-4
NCERT-Solution-Class-12-Physics-Exemplar-Electromagnetic-Induction-2510-page-5
NCERT-Solution-Class-12-Physics-Exemplar-Electromagnetic-Induction-2510-page-6
NCERT-Solution-Class-12-Physics-Exemplar-Electromagnetic-Induction-2510-page-7
NCERT-Solution-Class-12-Physics-Exemplar-Electromagnetic-Induction-2510-page-8
NCERT-Solution-Class-12-Physics-Exemplar-Electromagnetic-Induction-2510-page-9
NCERT-Solution-Class-12-Physics-Exemplar-Electromagnetic-Induction-2510-page-10
NCERT-Solution-Class-12-Physics-Exemplar-Electromagnetic-Induction-2510-page-11
NCERT-Solution-Class-12-Physics-Exemplar-Electromagnetic-Induction-2510-page-12
NCERT-Solution-Class-12-Physics-Exemplar-Electromagnetic-Induction-2510-page-13
NCERT-Solution-Class-12-Physics-Exemplar-Electromagnetic-Induction-2510-page-14
NCERT-Solution-Class-12-Physics-Exemplar-Electromagnetic-Induction-2510-page-15
NCERT-Solution-Class-12-Physics-Exemplar-Electromagnetic-Induction-2510-page-16
NCERT-Solution-Class-12-Physics-Exemplar-Electromagnetic-Induction-2510-page-17
NCERT-Solution-Class-12-Physics-Exemplar-Electromagnetic-Induction-2510-page-18
NCERT-Solution-Class-12-Physics-Exemplar-Electromagnetic-Induction-2510-page-19
NCERT-Solution-Class-12-Physics-Exemplar-Electromagnetic-Induction-2510-page-20
NCERT-Solution-Class-12-Physics-Exemplar-Electromagnetic-Induction-2510-page-21

Share a Word about Us

Facebook Twitter Whatsapp

;