NCERT Solutionss Logo

Class 11 Physics Chapter 7 System of Particles and Rotational Motion Solution of NCERT

Here We have provided Latest NCERT Solution for Class 11 of Physics for free, Here are some quick information about the same which will be helpful for you to identify the content that is offerend on this page. Based on that you can plan whether you need to read it or not:
Board : CBSE (Central Board of Secondary Education)
Books : NCERT (National counsil of education, research and Training)
Content : Solution
Class : Class 11
Subject : Physics
Langauge : urdu
Chapter : Chapter 7 System of Particles and Rotational Motion
NCERT-Solution-Class-11-Physics-Chapter-7-System-of-Particles-and-Rotational-Motion-2586-page-1
NCERT-Solution-Class-11-Physics-Chapter-7-System-of-Particles-and-Rotational-Motion-2586-page-2
NCERT-Solution-Class-11-Physics-Chapter-7-System-of-Particles-and-Rotational-Motion-2586-page-3
NCERT-Solution-Class-11-Physics-Chapter-7-System-of-Particles-and-Rotational-Motion-2586-page-4
NCERT-Solution-Class-11-Physics-Chapter-7-System-of-Particles-and-Rotational-Motion-2586-page-5
NCERT-Solution-Class-11-Physics-Chapter-7-System-of-Particles-and-Rotational-Motion-2586-page-6
NCERT-Solution-Class-11-Physics-Chapter-7-System-of-Particles-and-Rotational-Motion-2586-page-7
NCERT-Solution-Class-11-Physics-Chapter-7-System-of-Particles-and-Rotational-Motion-2586-page-8
NCERT-Solution-Class-11-Physics-Chapter-7-System-of-Particles-and-Rotational-Motion-2586-page-9
NCERT-Solution-Class-11-Physics-Chapter-7-System-of-Particles-and-Rotational-Motion-2586-page-10
NCERT-Solution-Class-11-Physics-Chapter-7-System-of-Particles-and-Rotational-Motion-2586-page-11
NCERT-Solution-Class-11-Physics-Chapter-7-System-of-Particles-and-Rotational-Motion-2586-page-12
NCERT-Solution-Class-11-Physics-Chapter-7-System-of-Particles-and-Rotational-Motion-2586-page-13
NCERT-Solution-Class-11-Physics-Chapter-7-System-of-Particles-and-Rotational-Motion-2586-page-14
NCERT-Solution-Class-11-Physics-Chapter-7-System-of-Particles-and-Rotational-Motion-2586-page-15
NCERT-Solution-Class-11-Physics-Chapter-7-System-of-Particles-and-Rotational-Motion-2586-page-16
NCERT-Solution-Class-11-Physics-Chapter-7-System-of-Particles-and-Rotational-Motion-2586-page-17
NCERT-Solution-Class-11-Physics-Chapter-7-System-of-Particles-and-Rotational-Motion-2586-page-18
NCERT-Solution-Class-11-Physics-Chapter-7-System-of-Particles-and-Rotational-Motion-2586-page-19
NCERT-Solution-Class-11-Physics-Chapter-7-System-of-Particles-and-Rotational-Motion-2586-page-20
NCERT-Solution-Class-11-Physics-Chapter-7-System-of-Particles-and-Rotational-Motion-2586-page-21
NCERT-Solution-Class-11-Physics-Chapter-7-System-of-Particles-and-Rotational-Motion-2586-page-22
NCERT-Solution-Class-11-Physics-Chapter-7-System-of-Particles-and-Rotational-Motion-2586-page-23
NCERT-Solution-Class-11-Physics-Chapter-7-System-of-Particles-and-Rotational-Motion-2586-page-24
NCERT-Solution-Class-11-Physics-Chapter-7-System-of-Particles-and-Rotational-Motion-2586-page-25
NCERT-Solution-Class-11-Physics-Chapter-7-System-of-Particles-and-Rotational-Motion-2586-page-26
NCERT-Solution-Class-11-Physics-Chapter-7-System-of-Particles-and-Rotational-Motion-2586-page-27
NCERT-Solution-Class-11-Physics-Chapter-7-System-of-Particles-and-Rotational-Motion-2586-page-28
NCERT-Solution-Class-11-Physics-Chapter-7-System-of-Particles-and-Rotational-Motion-2586-page-29
NCERT-Solution-Class-11-Physics-Chapter-7-System-of-Particles-and-Rotational-Motion-2586-page-30
NCERT-Solution-Class-11-Physics-Chapter-7-System-of-Particles-and-Rotational-Motion-2586-page-31
NCERT-Solution-Class-11-Physics-Chapter-7-System-of-Particles-and-Rotational-Motion-2586-page-32
NCERT-Solution-Class-11-Physics-Chapter-7-System-of-Particles-and-Rotational-Motion-2586-page-33
NCERT-Solution-Class-11-Physics-Chapter-7-System-of-Particles-and-Rotational-Motion-2586-page-34
NCERT-Solution-Class-11-Physics-Chapter-7-System-of-Particles-and-Rotational-Motion-2586-page-35
NCERT-Solution-Class-11-Physics-Chapter-7-System-of-Particles-and-Rotational-Motion-2586-page-36
NCERT-Solution-Class-11-Physics-Chapter-7-System-of-Particles-and-Rotational-Motion-2586-page-37
NCERT-Solution-Class-11-Physics-Chapter-7-System-of-Particles-and-Rotational-Motion-2586-page-38
NCERT-Solution-Class-11-Physics-Chapter-7-System-of-Particles-and-Rotational-Motion-2586-page-39
NCERT-Solution-Class-11-Physics-Chapter-7-System-of-Particles-and-Rotational-Motion-2586-page-40
NCERT-Solution-Class-11-Physics-Chapter-7-System-of-Particles-and-Rotational-Motion-2586-page-41
NCERT-Solution-Class-11-Physics-Chapter-7-System-of-Particles-and-Rotational-Motion-2586-page-42
NCERT-Solution-Class-11-Physics-Chapter-7-System-of-Particles-and-Rotational-Motion-2586-page-43
NCERT-Solution-Class-11-Physics-Chapter-7-System-of-Particles-and-Rotational-Motion-2586-page-44
NCERT-Solution-Class-11-Physics-Chapter-7-System-of-Particles-and-Rotational-Motion-2586-page-45
NCERT-Solution-Class-11-Physics-Chapter-7-System-of-Particles-and-Rotational-Motion-2586-page-46
NCERT-Solution-Class-11-Physics-Chapter-7-System-of-Particles-and-Rotational-Motion-2586-page-47
NCERT-Solution-Class-11-Physics-Chapter-7-System-of-Particles-and-Rotational-Motion-2586-page-48
NCERT-Solution-Class-11-Physics-Chapter-7-System-of-Particles-and-Rotational-Motion-2586-page-49
NCERT-Solution-Class-11-Physics-Chapter-7-System-of-Particles-and-Rotational-Motion-2586-page-50
NCERT-Solution-Class-11-Physics-Chapter-7-System-of-Particles-and-Rotational-Motion-2586-page-51
NCERT-Solution-Class-11-Physics-Chapter-7-System-of-Particles-and-Rotational-Motion-2586-page-52
NCERT-Solution-Class-11-Physics-Chapter-7-System-of-Particles-and-Rotational-Motion-2586-page-53
NCERT-Solution-Class-11-Physics-Chapter-7-System-of-Particles-and-Rotational-Motion-2586-page-54
NCERT-Solution-Class-11-Physics-Chapter-7-System-of-Particles-and-Rotational-Motion-2586-page-55
NCERT-Solution-Class-11-Physics-Chapter-7-System-of-Particles-and-Rotational-Motion-2586-page-56
NCERT-Solution-Class-11-Physics-Chapter-7-System-of-Particles-and-Rotational-Motion-2586-page-57
NCERT-Solution-Class-11-Physics-Chapter-7-System-of-Particles-and-Rotational-Motion-2586-page-58
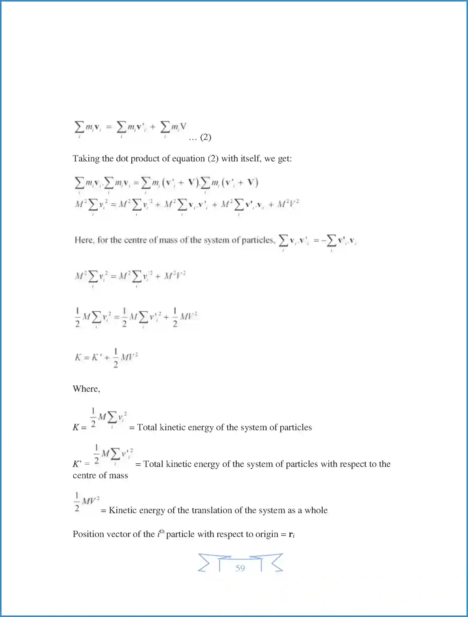
NCERT-Solution-Class-11-Physics-Chapter-7-System-of-Particles-and-Rotational-Motion-2586-page-59
NCERT-Solution-Class-11-Physics-Chapter-7-System-of-Particles-and-Rotational-Motion-2586-page-60
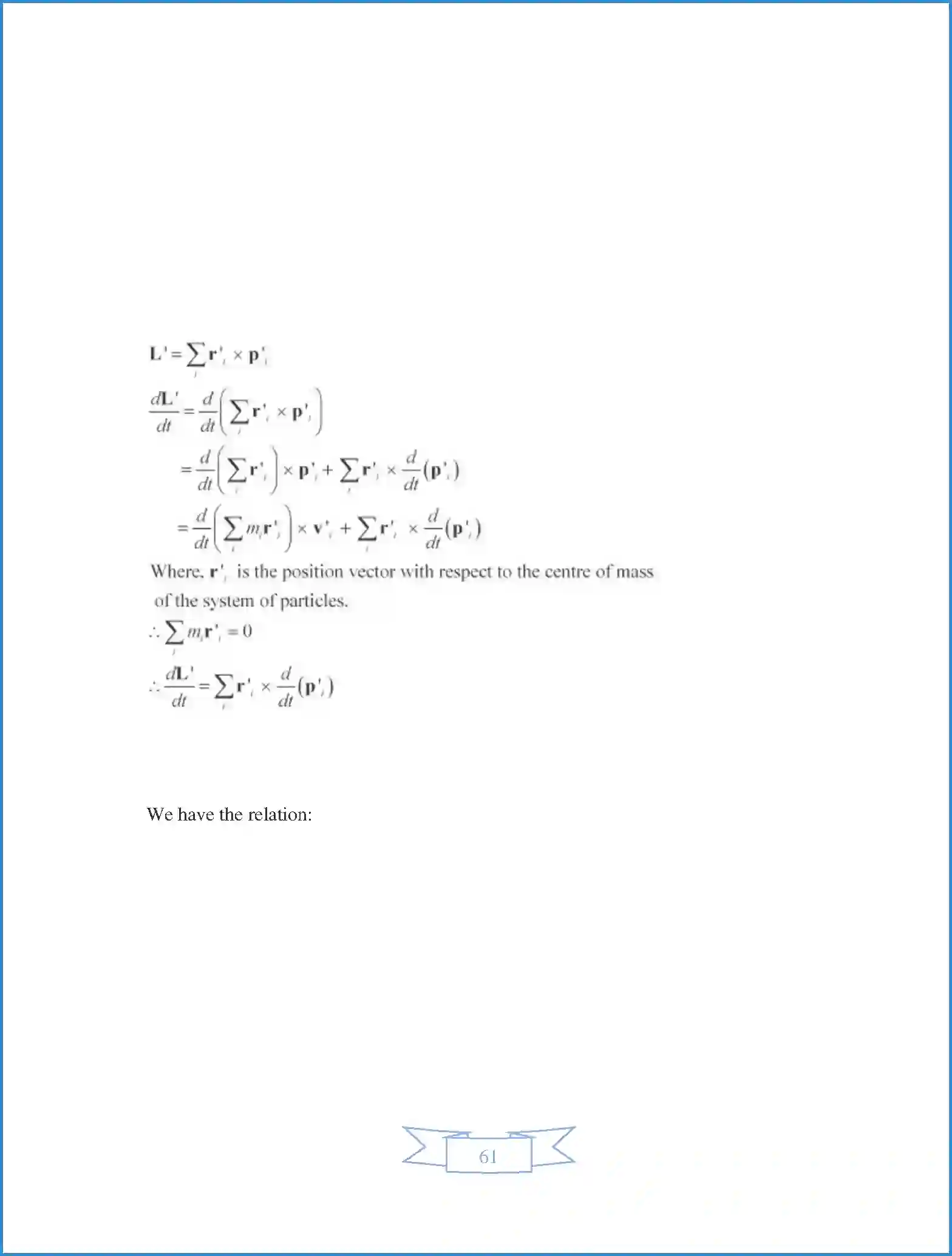
NCERT-Solution-Class-11-Physics-Chapter-7-System-of-Particles-and-Rotational-Motion-2586-page-61
NCERT-Solution-Class-11-Physics-Chapter-7-System-of-Particles-and-Rotational-Motion-2586-page-62

Share a Word about Us

Facebook Twitter Whatsapp

;